数据结构与算法之B树

169 阅读2分钟

持续创作,加速成长!这是我参与「掘金日新计划 · 6 月更文挑战」的第19天,点击查看活动详情

B树

B树(BTree)是一种平衡的多路查找树,2-3树和2-3-4树都是B树的特例。

我们把结点最大的孩子树目称为B树的阶,因此,2-3树是3阶B树,2-3-4树是4阶B树 在这里插入图片描述

如下图,比如说要查找7,首先从外存读取得到根节点3,5,8三个元素,发现7不在,但是5、8之间,因此就通过A2再读取外存的2,6,7节点找到结束。 在这里插入图片描述

B树的数据结构为内外存的数据交互准备的。当要处理的数据很大时,无法一次全部装入内存。这时对B树调整,使得B树的阶数与硬盘存储的页面大小相匹配。比如说一棵B树的阶为1001(即1个节点包含1000个关键字),高度为2(从0开始),它可以存储超过10亿个关键字(1001x1001x1000+1001x1000+1000),只要让根节点持久的保留在内存中,那么在这颗树上,寻找某一个关键字至多需要两次硬盘的读取即可。

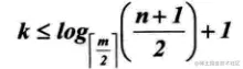
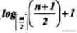
对于n个关键字的m阶B树,最坏情况查找次数计算 第一层至少1个节点,第二层至少2个节点,由于除根节点外每个分支节点至少有⌈m/2⌉棵子树,则第三层至少有2x⌈m/2⌉个节点。。。这样第k+1层至少有2x(⌈m/2⌉)^(k-1),实际上,k+1层的节点就是叶子节点。若m阶B树有n个关键字,那么当你找到叶子节点,其实也就等于查找不成功的节点为n+1,因此 n+1>=2x(⌈m/2⌉)^(k-1),即 在这里插入图片描述

在含有n个关键字的B树上查找时,从根节点到关键字节点的路径上涉及的节点数不超多在这里插入图片描述