几种简单电路知识汇总

2,474 阅读7分钟

本文已参与「新人创作礼」活动,一起开启掘金创作之路

这篇文章用于记录平时设计电路或者在书中遇到的一些电路方面的知识,会不定期更新。就先从运算放大器开始,对此做个简单的介绍。

运算放大器

说到运算放大器就不得不说两个概念,虚短与虚断。

虚短:  在理想情况下,运算放大器的两个输入端的电位相等,就好像两个输入端短接在一起,但事实上并没有短接。
虚断:  在理想情况下,流入集成运算放大器输入端电流为零。

注:V+ 表示运算放大器同相输入端输入电压,V− 表示运算放大器反相输入端输入电压,Vi表示信号输入电压,Vo表示信号输出电压,输入信号Vi是峰值为1v的正弦波,用红色曲线表示,对应通道B,输出信号Vo用绿色曲线表示,对应通道A。

同相放大器

image.png 因为虚短,所以V+=V-=Vi,因为虚断,所以i+=i-=0, 于是

image.png

图中所示,令R11=10K,R10=10K,故而Vo=2Vi ,仿真波形如下

image.png 在正负峰值时采样电压可知,成2倍关系。

电压跟随器

在同相放大器中,我们知道

image.png

电路图如下

image.png 仿真波形如下

image.png

从波形上看,输入电压V VVi与输出电压V VVo同相且相等。

反相放大器

image.png 同样因为虚断与虚短,所以V+=V-=0,i+=i-=0, 于是

image.png

令R11=10K,R10=5K,故而Vo=−2Vi,仿真波形如下

image.png 在峰值时采样,输入信号Vi与输出信号Vo呈−2倍关系。

加法电路

V1与V2分别为峰值2v与4v的正弦波。

image.png 同理,V+=V-=0,i+=i-=0, 于是

image.png 令R11=5K,R10=5K,R12=5K,故而Vo=−(V1+V2),仿真波形如下

image.png 蓝色曲线代表V1,红色曲线代表V2,绿色曲线代表Vo,在峰值处采样,可以看出和的关系。

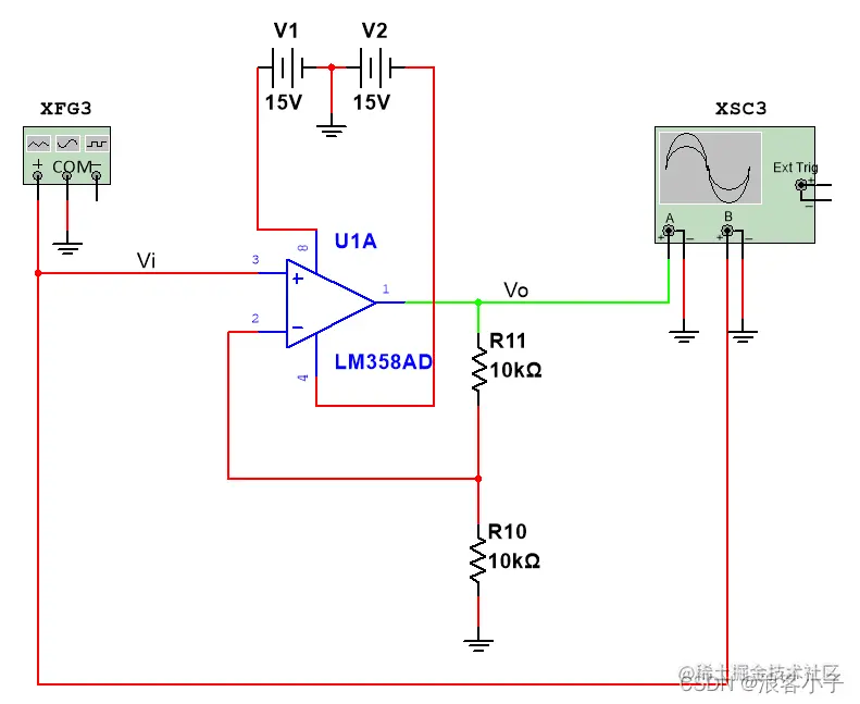
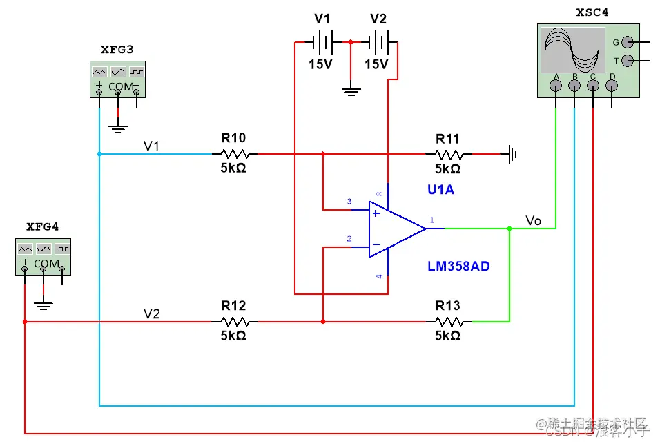
差分放大电路

注:V+ 表示运算放大器同相输入端输入电压,V− 表示运算放大器反相输入端输入电压,V1 与V2表示信号输入电压,Vo表示信号输出电压,输入信号V1用蓝色曲线表示,对应通道B,输入信号V2 用红色曲线表示,对应通道C,输出信号Vo用绿色曲线表示,对应通道A。

V1与V2分别为峰值6v与2v的正弦波。

image.png  同理,V+=V-,i+=i-=0, 于是

image.png  令R10=R11=R12=R13=5K,故而Vo=V1-V−V2,仿真波形如下

image.png 蓝色曲线代表V1,红色曲线代表V2,绿色曲线代表Vo,在峰值处采样,可以看出差的关系。   令R11=R13=10K, R10=R12=5K ,故而Vo=2(V1−V2),仿真波形如下

image.png 蓝色曲线代表V1,红色曲线代表V2,绿色曲线代表Vo,在峰值处采样,可以看出差的2倍关系。

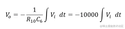
积分电路

注:V+V+ 表示运算放大器同相输入端输入电压,VV- 表示运算放大器反相输入端输入电压,ViVi表示信号输入电压,用红色曲线表示,对应通道BBVoVo表示信号输出电压,用绿色曲线表示,对应通道AA

在这里插入图片描述   同理,因为虚断和虚短,因此VV+ = VV - = 00, ii+ = ii- = 00 ,于是 在这里插入图片描述   输入为占空比5050% 的方波,幅值为1v1v,令RR10 =100K100K,CC6= 1nf1nf,即 在这里插入图片描述   输出波形如下 在这里插入图片描述   在176.136us176.136us时,输入的方波信号由+1v+1v跳至1v-1v,有 在这里插入图片描述 与上图中输出电压VVo =1.762v-1.762v相吻合。

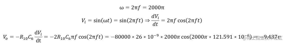
微分电路

在这里插入图片描述   同理,因为虚断和虚短,因此VV+ = VV - = 00, ii+ = ii- = 00 ,于是 在这里插入图片描述   输入频率为1kHz1kHz的正弦波,幅值为1v1v,令RR10 =80K80K,CC6= 26nf26nf,输出波形如下 在这里插入图片描述   选取其中一段,如下图所示 在这里插入图片描述 蓝线表示从此时开始,即输入的正弦波电压为00,在黄线处截止,共运行121.591us121.591us,其中红线表示VVi,绿线表示VVo,有 在这里插入图片描述 通过上述计算,基本与示波器显示的9.553v-9.553v相吻合。

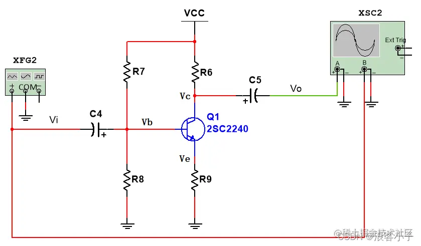
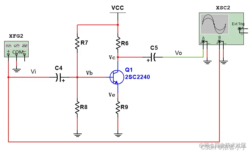
三极管放大电路

电压放大倍数AAv

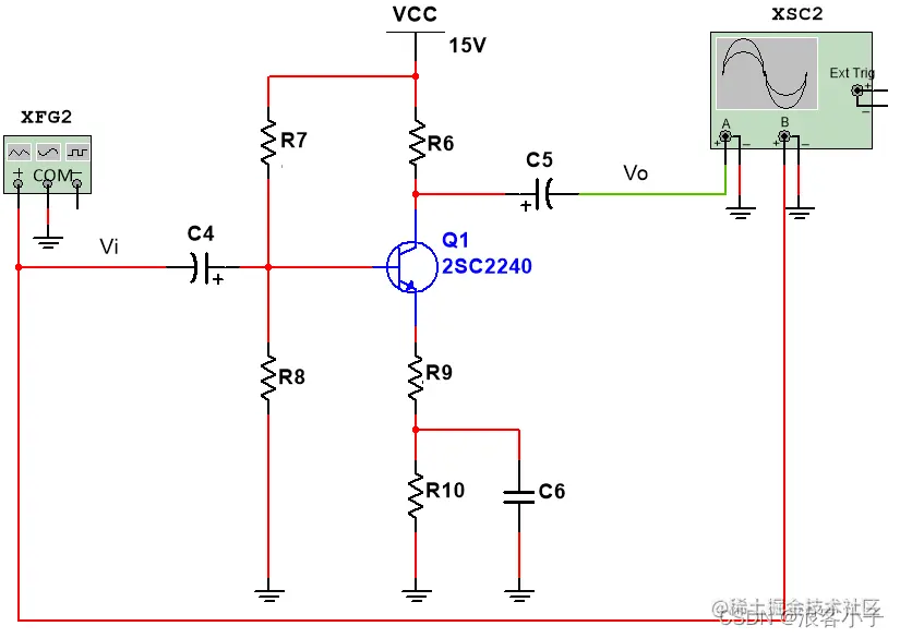
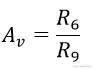
  我们从一个最简单的放大电路开始,如下图 在这里插入图片描述 先假设该电路工作在理想状态下,即静态工作点合理。于是由交流输入电压VVi引起的IIe的交流变化为 在这里插入图片描述VVc的交流变化为 在这里插入图片描述 在三极管放大电路中,由于基极电流IIb很小,故而可近似认为集电极电流等于发射级电流,即IIc = IIe,所以他们的单位时间的变化量也可近似认为相等,即 在这里插入图片描述 所以 在这里插入图片描述 最终输出的电压VVo是集电极电压VVc经过退藕电容CC5后得到的电压,也就是说VVo就是集电极电压VVc减去直流分量,也就是VVc变化的部分,即 在这里插入图片描述 那么该电路的交流电压反相放大倍数AAv在这里插入图片描述 故而可以认为电压反相放大倍数是RR6RR9的比值决定的。

设计放大电路

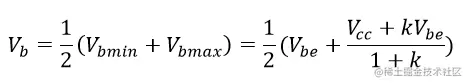
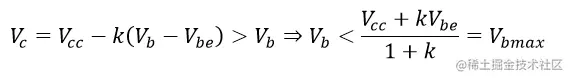
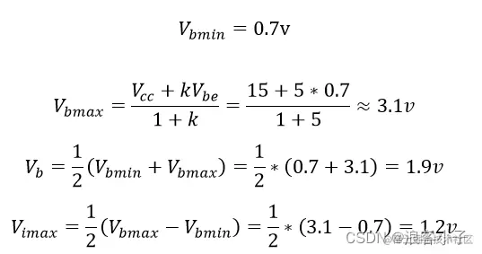
在这里插入图片描述   设VccVcc= 15v15v,VVbe表示三极管基级-发射极电压,VVbe=0.7v=0.7vVVbmin表示基级最低电压,VVbmax表示基级最高电压,VVimax表示输入信号的最高电压,kk表示电压放大倍数,这里取k=5k=5,即设计一个电压反相放大倍数为5倍的放大电路,可得如下条件 在这里插入图片描述 可得 在这里插入图片描述 于是可得到一个输入信号VVi峰值范围最大的静态工作点VVb在这里插入图片描述 可得输入信号VVi最大峰值VVimax在这里插入图片描述 带入参数,可得 在这里插入图片描述   通过上述计算,得到了基级电压,那么 RR7 :: RR8 =13.1:1.9=13.1 : 1.9,可使RR7 =131k=131k,RR8 =19k=19k,因为k=5k=5,即RR6 // RR9 =5=5,可使RR6 =10k=10k,RR9 =2k=2k,如下图所示 在这里插入图片描述 输入信号VVi为峰值100mv100mv频率1khz1khz的正弦波,仿真波形如下 在这里插入图片描述 红色曲线表示输入信号VVi,对应通道BB,绿色曲线表示输出信号VVo,对应通道AA,在峰值处采样,如上图红框中的数据,可得出输出信号VVo被反相放大55倍。

提高放大倍数

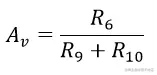
  在上面的叙述中,可知交流信号的放大倍数与集电极电阻和发射极电阻的比值有关,如果要改动放大倍数,则必须改动静态工作点,那么偏置电阻也要改动,这就是说要重新设计一个电路,这样不符合实际某些要求,我们将电路做如下改动 在这里插入图片描述   在无信号输入情况下,该电路的发射极电阻为RR9RR10的和,当有信号输入时,电阻RR10便被电容CC6给旁路掉,此时电路中发射极电阻相当于只有RR9一个,但是静态工作点并没有改变,也就是说,在不改变静态工作点的情况下,不接旁路电容CC6,信号的反相放大倍数为 在这里插入图片描述 接上旁路电容CC6后,信号的反相放大倍数为 在这里插入图片描述   

举个例子,上面所设计的反相放大倍数为5倍的放大电路中,RR6=10k=10k,RR9=2k=2k,现在我们将这个电路改为反相放大倍数为10倍的放大电路,只需将RR9拆分为两个1k1k的电阻,CC6200uf200uf,在交流电路中,电容是存在容抗的,其公式为 在这里插入图片描述

由公式可知,电容越大,其容抗越低,通常取值100uf100uf以上,最好能保证其容抗小于11,便可以忽略掉他的容抗。 电路如图所示 在这里插入图片描述 示波器波形如下 在这里插入图片描述   在峰值处采样,通过数据可以认为达到了反向放大10倍的要求。

提高三极管开关速度

在这里插入图片描述   在三极管的基级电阻RR2上并联一个电容CC1,因为电容具有通高频阻低频的特性,在三极管导通的瞬间,RR2被电容CC1旁路掉,大量电流涌入使三极管迅速从截止区变化到饱和区,同理,三极管在关断的瞬间,大量电流从集电极流出,也加快了其关断速度。取CC1=200pf=200pf,基级电流如下图 在这里插入图片描述 放大导通瞬间波形,如下 在这里插入图片描述 探针为1mv/mA1mv/mA,示波器中此时112.081mv112.081mv,即为112.081mA112.081mA,当电容CC1进入稳态后,电流降至22.541mA22.541mA,并稳在此值。在关断瞬间如下图 在这里插入图片描述