数据结构之2-3-4树

142 阅读2分钟

持续创作,加速成长!这是我参与「掘金日新计划 · 6 月更文挑战」的第18天,点击查看活动详情

2-3-4树

2-3-4树是2-3树的扩展,包括了 4 节点的使用,一个 4 节点包含小中大三个元素和四个孩子(或没有孩子)

2-3-4树是一种阶为4的B树。它是一种自平衡的数据结构,可以在O(lgn)的时间内查找、插入和删除,这里的n是树中元素的数目。2-3-4树和红黑树是等价的,也就是每个红黑树都可以转化为一颗2-3-4树,每个选择操作也和2-3-4树中的分裂操作对应。

      2-3-4树是这样一种数据结构,满足如下性质:

      1) 每个节点每个节点有1、2或3个key,分别称为2-node,3-node,4-node。

      2) 每个节点的keys把区间进行了划分,以4-nde为例,key1、key2、key3分别夹在subtree1, subtree2和subtree2, subtree3和subtree3, subtree4之间。

      3) 4-node的子节点不能是4-node。

2-3-4树的插入操作

1)如果待插入的节点不是 4 节点,则直接插入即可

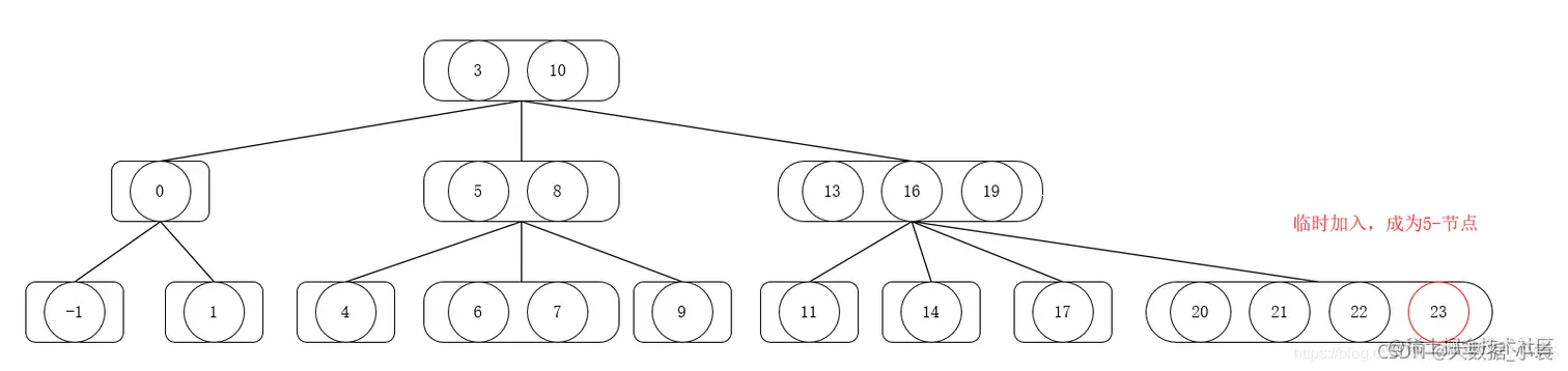
2)如果待插入的节点是 4 节点,则先把新节点临时插入进去变成 5 节点,然后对 5 节点进行向上分裂、合并,5 节点分裂成两个 2 节点(5 节点最小的元素、5 节点第二个元素)、1个 3 节点(5 节点后两个元素),然后将分裂之后的第2个 2 节点向上合并到父节点中,然后把父节点作为插入元素之后的当前节点,重复(1)、(2)步骤,直到满足2-3-4树的定义性质 在这里插入图片描述 在这里插入图片描述 在这里插入图片描述

2-3-4树的删除操作

删除顺序使1,6,3,4,5,2,9 在这里插入图片描述

搜索2-3-4树

  查找特定关键字值的数据项和在二叉树中的搜索类似。从根节点开始搜索,除非查找的关键字值就是根,否则选择关键字值所在的合适范围,转向那个方向,直到找到为止。