LeetCode - #105 从前序与中序遍历序列构造二叉树

2,219 阅读2分钟

持续创作,加速成长!这是我参与「掘金日新计划 · 6 月更文挑战」的第21天,点击查看活动详情

前言

我们社区陆续会将顾毅(Netflix 增长黑客,《iOS 面试之道》作者,ACE 职业健身教练。)的 Swift 算法题题解整理为文字版以方便大家学习与阅读。

LeetCode 算法到目前我们已经更新到 104 期,我们会保持更新时间和进度(周一、周三、周五早上 9:00 发布),每期的内容不多,我们希望大家可以在上班路上阅读,长久积累会有很大提升。

不积跬步,无以至千里;不积小流,无以成江海,Swift社区 伴你前行。如果大家有建议和意见欢迎在文末留言,我们会尽力满足大家的需求。

难度水平:中等

1. 描述

给定两个整数数组 preorderinorder ,其中 preorder 是二叉树的先序遍历inorder 是同一棵树的中序遍历,请构造二叉树并返回其根节点。

2. 示例

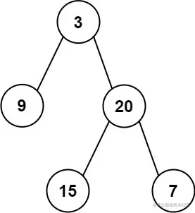
示例 1

输入: preorder = [3,9,20,15,7], inorder = [9,3,15,20,7]
输出: [3,9,20,null,null,15,7]

示例 2

输入: preorder = [-1], inorder = [-1]
输出: [-1]

约束条件:

  • 1 <= preorder.length <= 3000
  • inorder.length == preorder.length
  • -3000 <= preorder[i], inorder[i] <= 3000
  • preorderinorder 均 无重复 元素
  • inorder 均出现在 preorder
  • preorder 保证 为二叉树的前序遍历序列
  • inorder 保证 为二叉树的中序遍历序列

3. 答案

/**
 * Definition for a binary tree node.
 * struct TreeNode {
 *     int val;
 *     TreeNode *left;
 *     TreeNode *right;
 *     TreeNode() : val(0), left(nullptr), right(nullptr) {}
 *     TreeNode(int x) : val(x), left(nullptr), right(nullptr) {}
 *     TreeNode(int x, TreeNode *left, TreeNode *right) : val(x), left(left), right(right) {}
 * };
 */
 
class ConstructBinaryTreePreorderInorder {
    func buildTree(_ preorder: [Int], _ inorder: [Int]) -> TreeNode? {
        guard preorder.count == inorder.count else {
            return nil
        }
        
        return _buildHelper(preorder, 0, preorder.count - 1, inorder, 0, inorder.count - 1)
    }
    
    private func _buildHelper(_ preorder: [Int], _ preStart: Int, _ preEnd: Int, _ inorder: [Int], _ inStart: Int, _ inEnd: Int) -> TreeNode? {
        guard preStart <= preEnd && inStart <= inEnd else {
            return nil
        }
        
        guard let rootIndex = inorder.firstIndex(of: preorder[preStart]) else {
            return nil
        }
        let root = TreeNode(preorder[preStart])
        
        root.left = _buildHelper(preorder, preStart + 1, preStart + rootIndex - inStart, inorder, inStart, rootIndex - 1)
        root.right = _buildHelper(preorder, preStart + rootIndex - inStart + 1, preEnd, inorder, rootIndex + 1, inEnd)
        
        return root
    }
}
  • 主要思想:总是使用 preorder 中的第一个元素作为根,然后找到这个元素,以便得到左子树和右子树。
  • 时间复杂度: O(nlogn)
  • 空间复杂度: O(1)

该算法题解的仓库:LeetCode-Swift

点击前往 LeetCode 练习

关于我们

我们是由 Swift 爱好者共同维护,我们会分享以 Swift 实战、SwiftUI、Swift 基础为核心的技术内容,也整理收集优秀的学习资料。