链表经典算法题总结(一)

67 阅读4分钟

持续创作,加速成长!这是我参与「掘金日新计划 · 6 月更文挑战」的第20天,点击查看活动详情

关于链表常见的问题诸如: 获取倒数第k个元素,获取中间位置的元素,判断链表是否存在环,判断环的长度等和长度与位置有关的问题等。

这些问题可以通过灵活运用双指针来解决。

链表的定义

class ListNode:
    def __init__(self, val):
        self.val = val
        self.next = None

创建虚拟头节点

head_dummy = ListNode()
head_dummy.next = head

剑指 Offer 22. 链表中倒数第k个节点

输入一个链表,输出该链表中倒数第k个节点。

为了符合大多数人的习惯,本题从1开始计数,即链表的尾节点是倒数第1个节点。 例如,一个链表有 6 个节点,从头节点开始,它们的值依次是 1、2、3、4、5、6。这个链表的倒数第 3 个节点是值为 4 的节点。

示例:

给定一个链表: 1->2->3->4->5, 和 k = 2. 返回链表 4->5.

思路: 设有两个指针 p 和 q,初始时均指向头结点。首先,先让 p 沿着 next 移动 k 次。此时,p 指向第 k+1个结点,q 指向头节点,两个指针的距离为 k 。然后,同时移动 p 和 q,直到 p 指向空,此时 q 即指向倒数第 k 个结点。可以参考下图来理解: 在这里插入图片描述

/**
 * Definition for singly-linked list.
 * public class ListNode {
 *     int val;
 *     ListNode next;
 *     ListNode(int x) { val = x; }
 * }
 */
class Solution {
    public ListNode getKthFromEnd(ListNode head, int k) {
        ListNode p = head, q = head;
        while(k-->0){
            p = p.next;
        }
        while(p != null){
            p = p.next;
            q = q.next;
        }
        return q;
    }
}

时间复杂度 O(N) : N 为链表长度。 空间复杂度 O(1): 双指针 p , q 使用常数大小的额外空间。 删除链表的倒数第 n 个节点:

public ListNode removeNthFromEnd(ListNode head, int n) {
    ListNode fast = head;
    while (n-- > 0) {
        fast = fast.next;
    }
    if (fast == null) return head.next;
    ListNode slow = head;
    while (fast.next != null) {
        fast = fast.next;
        slow = slow.next;
    }
    slow.next = slow.next.next;
    return head;
}

获取中间位置的元素

思路:设有两个指针 fast 和 slow,初始时指向头节点。每次移动时,fast向后走两次,slow向后走一次,直到 fast 无法向后走两次。这使得在每轮移动之后。fast 和 slow 的距离就会增加一。设链表有 n 个元素,那么最多移动 n/2 轮。当 n 为奇数时,slow 恰好指向中间结点,当 n 为 偶数时,slow 恰好指向中间两个结点的靠前一个。 在这里插入图片描述 下面代码实现了 n 为偶数时慢指针指向中间两结点中靠后的那个,n为奇数时慢指针指向中间结点。

class Solution {
public:
    ListNode middleNode(ListNode head) {
        ListNode p = head, q = head;
        while(q != null && q->next != null) {
            p = p.next;
            q = q.next.next;
        }
        return p;
    } 
};

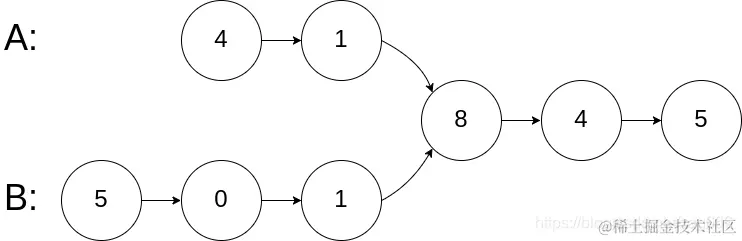
160. 相交链表

给你两个单链表的头节点 headA 和 headB ,请你找出并返回两个单链表相交的起始节点。如果两个链表没有交点,返回 null 。

注意:整个链式结构中不存在环;函数返回结果后,链表必须 保持其原始结构 。

示例: 在这里插入图片描述 思路:设 A 的长度为 a + c,B 的长度为 b + c,其中 c 为尾部公共部分长度,可知 a + c + b = b + c + a。

当访问 A 链表的指针访问到链表尾部时,令它从链表 B 的头部开始访问链表 B;同样地,当访问 B 链表的指针访问到链表尾部时,令它从链表 A 的头部开始访问链表 A。这样就能控制访问 A 和 B 两个链表的指针能同时访问到交点。

如果不存在交点,那么 a + b = b + a,以下实现代码中 pA和 pB会同时为 null,从而退出循环。 在这里插入图片描述

# Definition for singly-linked list.
# class ListNode:
#     def __init__(self, x):
#         self.val = x
#         self.next = None

class Solution:
    def getIntersectionNode(self, headA: ListNode, headB: ListNode) -> ListNode:
        a, b = headA, headB
        while a != b:
            a = a.next if a else headB
            b = b.next if b else headA
        return a

时间复杂度:O(m+n),其中 m和 n是分别是链表headA 和headB 的长度。两个指针同时遍历两个链表,每个指针遍历两个链表各一次。 空间复杂度:O(1)。

206. 反转链表

给你单链表的头节点 head ,请你反转链表,并返回反转后的链表。

示例 1:

输入:head = [1,2,3,4,5] 输出:[5,4,3,2,1]

示例 2:

输入:head = [] 输出:[]

方法一:迭代

# Definition for singly-linked list.
# class ListNode:
#     def __init__(self, val=0, next=None):
#         self.val = val
#         self.next = next
class Solution:
    def reverseList(self, head: ListNode) -> ListNode:
        prev, curr = None, head
        while curr is not None:
            next = curr.next
            curr.next = prev
            prev = curr
            curr = next
        return prev
/**
 * Definition for singly-linked list.
 * public class ListNode {
 *     int val;
 *     ListNode next;
 *     ListNode() {}
 *     ListNode(int val) { this.val = val; }
 *     ListNode(int val, ListNode next) { this.val = val; this.next = next; }
 * }
 */
class Solution {
    public ListNode reverseList(ListNode head) {
        ListNode prev = null;
        ListNode curr = head;
        while(curr != null){
            ListNode nextTemp = curr.next;//数据结构链表的运用
            curr.next = prev;
            prev = curr;
            curr = nextTemp;
        }
        return prev;
    }
}

时间复杂度:O(n),n是列表的长度。 空间复杂度:O(1)。

方法二:递归

/**
 * Definition for singly-linked list.
 * public class ListNode {
 *     int val;
 *     ListNode next;
 *     ListNode() {}
 *     ListNode(int val) { this.val = val; }
 *     ListNode(int val, ListNode next) { this.val = val; this.next = next; }
 * }
 */
class Solution {//n1的下一个必须指向∅ 
    public ListNode reverseList(ListNode head) {
        if (head == null || head.next == null) {
            return head;
        }
        ListNode p = reverseList(head.next);
        head.next.next = head;
        head.next = null;
        return p;
    }
}

时间复杂度:O(n),假设n是列表的长度,那么时间复杂度为 O(n)。 空间复杂度:O(n),由于使用递归,将会使用隐式栈空间。递归深度可能会达到n层。

参考: 倒数第k图 相交链表图