LeetCode破解之二分图

71 阅读2分钟

持续创作,加速成长!这是我参与「掘金日新计划 · 6 月更文挑战」的第17天,点击查看活动详情

题目描述

存在一个 无向图 ,图中有 n 个节点。其中每个节点都有一个介于 0 到 n - 1 之间的唯一编号。

给定一个二维数组 graph ,表示图,其中 graph[u] 是一个节点数组,由节点 u 的邻接节点组成。形式上,对于 graph[u] 中的每个 v ,都存在一条位于节点 u 和节点 v 之间的无向边。该无向图同时具有以下属性:

不存在自环(graph[u] 不包含 u)。 不存在平行边(graph[u] 不包含重复值)。 如果 v 在 graph[u] 内,那么 u 也应该在 graph[v] 内(该图是无向图) 这个图可能不是连通图,也就是说两个节点 u 和 v 之间可能不存在一条连通彼此的路径。 二分图 定义:如果能将一个图的节点集合分割成两个独立的子集 A 和 B ,并使图中的每一条边的两个节点一个来自 A 集合,一个来自 B 集合,就将这个图称为 二分图 。

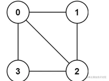
示例 1:

image-20220613231228008

输入:graph = [[1,2,3],[0,2],[0,1,3],[0,2]] 输出:false 解释:不能将节点分割成两个独立的子集,以使每条边都连通一个子集中的一个节点与另一个子集中的一个节点。

DFS深度优先搜索

具体思路:通过DFS将连通分量里的节点分别分到0,1两种状态,用map存储。如果不能成功分开,返回false,否则返回true。不成功即节点的多个state & 1不相等。注意使用遍历因为给定图不一定是连通图。然后就是具体的实现步骤如下:

  1. 首先利用两个数组a,b去保存状态,也就是染色。
  2. 使用该数组去做深度优先搜索。
  3. 如果a 数组和b数组都有了,那么表示不可能,直接停止返回false
  4. 如果一直不重复,能够遍历完 ,那么说明可以分割,返回结果true

感觉考察的就是离散数学,哈哈哈哈~

class Solution {
    public boolean isBipartite(int[][] graph) {
        boolean[] a = new boolean[graph.length];
        boolean[] b = new boolean[graph.length];
        for(int i = 0; i < graph.length; i++){
            if(!a[i] && !b[i]){
                if(!dfs(graph, a, b, i)){
                    return false;
                }
            }
        }
        return true;
    }
    public boolean dfs(int[][] graph, boolean[] a, boolean[] b, int index) {
        if (b[index]) {
            return false;
        }
        if(a[index]){
            return true;
        }
        a[index] = true;
        for (int i : graph[index]) {
            if (!dfs(graph, b, a, i)){
                return false;
            }
        }
        return true;
    }
}

最后

其实这道题目有几个坑点,其实也不算是坑点,就是二分图的坑点,如果不了解二分图是什么,这道题就难做了,注意以下几个点:

  • 不同环内的节点不互相影响。
  • 一条边的两个点一定属于不同组。
  • 已知一条边的一点所属的组,可以知道另一个点所属的组。