leetcode 310. Minimum Height Trees 最小高度树(中等)

192 阅读1分钟


持续创作,加速成长!这是我参与「掘金日新计划 · 6 月更文挑战」的第20天,点击查看活动详情

一、题目大意

标签: 搜索

leetcode.cn/problems/mi…

树是一个无向图,其中任何两个顶点只通过一条路径连接。 换句话说,一个任何没有简单环路的连通图都是一棵树。

给你一棵包含 n 个节点的树,标记为 0 到 n - 1 。给定数字 n 和一个有 n - 1 条无向边的 edges 列表(每一个边都是一对标签),其中 edges[i] = [ai, bi] 表示树中节点 ai 和 bi 之间存在一条无向边。

可选择树中任何一个节点作为根。当选择节点 x 作为根节点时,设结果树的高度为 h 。在所有可能的树中,具有最小高度的树(即,min(h))被称为 最小高度树 。

请你找到所有的 最小高度树 并按 任意顺序 返回它们的根节点标签列表。

树的 高度 是指根节点和叶子节点之间最长向下路径上边的数量。

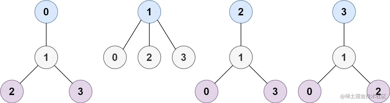
示例 1:

image.png

输入:n = 4, edges = [[1,0],[1,2],[1,3]] 输出:[1] 解释:如图所示,当根是标签为 1 的节点时,树的高度是 1 ,这是唯一的最小高度树。

示例 2:

image.png

输入:n = 6, edges = [[3,0],[3,1],[3,2],[3,4],[5,4]] 输出:[3,4]

提示:

  • 1 <= n <= 2 * 104
  • edges.length == n - 1
  • 0 <= ai, bi < n
  • ai != bi
  • 所有 (ai, bi) 互不相同
  • 给定的输入 保证 是一棵树,并且 不会有重复的边

二、解题思路

借助二维数组,描绘出一个无向图,例2中,结果是节点3和4,因为节点3和4到其他叶子节点最大距离为2。观察我发现叶子节点的特征,每个叶子节点的度为1,顶点0、1、2、5的度为1,顶点4的度为2,顶点3的度为4。我们每次输出一个度为1的顶点,输出后就把该顶点从图中抹掉,同时更新相邻顶点的degree。比如选择了度为1的顶点2,与其相信的顶点3的度就变为3了,再依次选择顶点0、1、5,这样就剩下顶点3、4就是我们的结果了。 无向图中顶点v的度(Degree)是关于该顶点的边的数目。

image.png

三、解题方法

3.1 Java实现

public class Solution {
    public List<Integer> findMinHeightTrees(int n, int[][] edges) {
        List<Integer> ans = new ArrayList<>();
        if (n == 1) {
            ans.add(0);
            return ans;
        }
        int[] degree = new int[n];
        Map<Integer, List<Integer>> nodeMap = new HashMap<>();
        for (int i = 0; i < n; i++) {
            nodeMap.put(i, new ArrayList<>());
        }
        for (int[] edge : edges) {
            nodeMap.get(edge[0]).add(edge[1]);
            nodeMap.get(edge[1]).add(edge[0]);
            degree[edge[0]]++;
            degree[edge[1]]++;
        }
        Queue<Integer> queue = new LinkedList<>();
        for (int i = 0; i < n; i++) {
            if (degree[i] == 1) {
                queue.add(i);
            }
        }

        while (!queue.isEmpty()) {
            List<Integer> list = new ArrayList<>();
            int size = queue.size();
            for (int i = 0; i < size; i++) {
                int cur = queue.poll();
                list.add(cur);
                for (int tmp : nodeMap.get(cur)) {
                    degree[tmp]--;
                    if (degree[tmp] == 1) {
                        queue.add(tmp);
                    }
                }
            }
            ans = list;
        }
        return ans;
    }
}

四、总结小记

  • 2022/6/13 下班的时候爆雨停了