算法-双指针解决部分链表问题

338 阅读9分钟

总结一下单链表的基本技巧,每个技巧都对应着至少一道算法题:

1、合并两个有序链表

2、合并 k 个有序链表

3、寻找单链表的倒数第 k 个节点

4、寻找单链表的中点

5、判断单链表是否包含环并找出环起点

6、判断两个单链表是否相交并找出交点

这些解法都用到了双指针技巧,所以说对于单链表相关的题目,双指针的运用是非常广泛的总结一下单链表的基本技巧,每个技巧都对应着至少一道算法题:

合并两个有序链表**

这是最基本的链表技巧,力扣第 21 题「 合并两个有序链表」就是这个问题:

image.png

ListNode mergeTwoLists(ListNode l1, ListNode l2) {
    // 虚拟头结点
    ListNode dummy = new ListNode(-1), p = dummy;
    ListNode p1 = l1, p2 = l2;
    
    while (p1 != null && p2 != null) {
        // 比较 p1 和 p2 两个指针
        // 将值较小的的节点接到 p 指针
        if (p1.val > p2.val) {
            p.next = p2;
            p2 = p2.next;
        } else {
            p.next = p1;
            p1 = p1.next;
        }
        // p 指针不断前进
        p = p.next;
    }
    
    if (p1 != null) {
        p.next = p1;
    }
    
    if (p2 != null) {
        p.next = p2;
    }
    
    return dummy.next;
}

这个算法主要是双指针进行比较 不断循环

代码中还用到一个链表的算法题中是很常见的「虚拟头结点」技巧,也就是 dummy 节点。,如果不使用 dummy 虚拟节点,代码会复杂很多,而有了 dummy 节点这个占位符,可以避免处理空指针的情况,降低代码的复杂性。

合并 k 个有序链表**

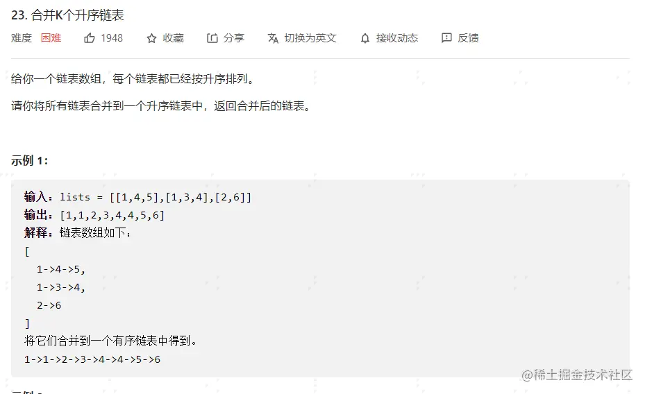
看下力扣第 23 题「 合并K个升序链表」:

image.png

这里我们就要用到 [优先级队列(二叉堆)] 这种数据结构,把链表节点放入一个最小堆,就可以每次获得 k 个节点中的最小节点:

单链表的倒数第 k 个节点**

从前往后寻找单链表的第 k 个节点很简单,一个 for 循环遍历过去就找到了,但是如何寻找从后往前数的第 k 个节点呢?

那你可能说,假设链表有 n 个节点,倒数第 k 个节点就是正数第 n - k + 1 个节点,不也是一个 for 循环的事儿吗?

是的,但是算法题一般只给你一个 ListNode 头结点代表一条单链表,你不能直接得出这条链表的长度 n,而需要先遍历一遍链表算出 n 的值,然后再遍历链表计算第 n - k + 1 个节点。

也就是说,这个解法需要遍历两次链表才能得到出倒数第 k 个节点。

那么,我们能不能只遍历一次链表,就算出倒数第 k 个节点?可以做到的,如果是面试问到这道题,面试官肯定也是希望你给出只需遍历一次链表的解法。

这个解法就比较巧妙了,假设 k = 2,思路如下:

首先,我们先让一个指针 p1 指向链表的头节点 head,然后走 k 步:

然后 让p=头指针 一起移动 等到p1 到达末尾 则 p为倒数的第k节点

image.png

很多链表相关的算法题都会用到这个技巧,比如说力扣第 19 题「 删除链表的倒数第 N 个结点」:

我们直接看解法代码:

// 主函数
public ListNode removeNthFromEnd(ListNode head, int n) {
    // 虚拟头结点
    ListNode dummy = new ListNode(-1);
    dummy.next = head;
    // 删除倒数第 n 个,要先找倒数第 n + 1 个节点
    ListNode x = findFromEnd(dummy, n + 1);
    // 删掉倒数第 n 个节点
    x.next = x.next.next;
    return dummy.next;
}
    
private ListNode findFromEnd(ListNode head, int k) {
    // 代码见上文
}

这个逻辑就很简单了,要删除倒数第 n 个节点,就得获得倒数第 n + 1 个节点的引用,可以用我们实现的 findFromEnd 来操作。

不过注意我们又使用了虚拟头结点的技巧,也是为了防止出现空指针的情况,比如说链表总共有 5 个节点,题目就让你删除倒数第 5 个节点,也就是第一个节点,那按照算法逻辑,应该首先找到倒数第 6 个节点。但第一个节点前面已经没有节点了,这就会出错。

但有了我们虚拟节点 dummy 的存在,就避免了这个问题,能够对这种情况进行正确的删除。

单链表的中点**

力扣第 876 题「 链表的中间结点」就是这个题目,问题的关键也在于我们无法直接得到单链表的长度 n,常规方法也是先遍历链表计算 n,再遍历一次得到第 n / 2 个节点,也就是中间节点。

如果想一次遍历就得到中间节点,也需要耍点小聪明,使用「快慢指针」的技巧:

我们让两个指针 slow 和 fast 分别指向链表头结点 head

每当慢指针 slow 前进一步,快指针 fast 就前进两步,这样,当 fast 走到链表末尾时,slow 就指向了链表中点

上述思路的代码实现如下:

ListNode middleNode(ListNode head) {
    // 快慢指针初始化指向 head
    ListNode slow = head, fast = head;
    // 快指针走到末尾时停止
    while (fast != null && fast.next != null) {
        // 慢指针走一步,快指针走两步
        slow = slow.next;
        fast = fast.next.next;
    }
    // 慢指针指向中点
    return slow;
}

需要注意的是,如果链表长度为偶数,也就是说中点有两个的时候,我们这个解法返回的节点是靠后的那个节点。

另外,这段代码稍加修改就可以直接用到判断链表成环的算法题上。

判断链表是否包含环**

判断链表是否包含环属于经典问题了,解决方案也是用快慢指针:

每当慢指针 slow 前进一步,快指针 fast 就前进两步。

如果 fast 最终遇到空指针,说明链表中没有环;如果 fast 最终和 slow 相遇,那肯定是 fast 超过了 slow 一圈,说明链表中含有环。

只需要把寻找链表中点的代码稍加修改就行了:

boolean hasCycle(ListNode head) {
    // 快慢指针初始化指向 head
    ListNode slow = head, fast = head;
    // 快指针走到末尾时停止
    while (fast != null && fast.next != null) {
        // 慢指针走一步,快指针走两步
        slow = slow.next;
        fast = fast.next.next;
        // 快慢指针相遇,说明含有环
        if (slow == fast) {
            return true;
        }
    }
    // 不包含环
    return false;
}

当然,这个问题还有进阶版:如果链表中含有环,如何计算这个环的起点?

这里简单提一下解法:

ListNode detectCycle(ListNode head) {
    ListNode fast, slow;
    fast = slow = head;
    while (fast != null && fast.next != null) {
        fast = fast.next.next;
        slow = slow.next;
        if (fast == slow) break;

    }
    // 上面的代码类似 hasCycle 函数
    if (fast == null || fast.next == null) {
        // fast 遇到空指针说明没有环
        return null;
    }

    // 重新指向头结点
    slow = head;

    // 快慢指针同步前进,相交点就是环起点
    while (slow != fast) {
        fast = fast.next;
        slow = slow.next;
    }
    return slow;
}

可以看到,当快慢指针相遇时,让其中任一个指针指向头节点,然后让它俩以相同速度前进,再次相遇时所在的节点位置就是环开始的位置。

为什么要这样呢?这里简单说一下其中的原理。

我们假设快慢指针相遇时,慢指针 slow 走了 k 步,那么快指针 fast 一定走了 2k 步:

fast 一定比 slow 多走了 k 步,这多走的 k 步其实就是 fast 指针在环里转圈圈,所以 k 的值就是环长度的「整数倍」。

假设相遇点距环的起点的距离为 m,那么结合上图的 slow 指针,环的起点距头结点 head 的距离为 k - m,也就是说如果从 head 前进 k - m 步就能到达环起点。

巧的是,如果从相遇点继续前进 k - m 步,也恰好到达环起点。因为结合上图的 fast 指针,从相遇点开始走k步可以转回到相遇点,那走 k - m 步肯定就走到环起点了:

所以,只要我们把快慢指针中的任一个重新指向 head,然后两个指针同速前进,k - m 步后一定会相遇,相遇之处就是环的起点了。

两个链表是否相交**

这个问题有意思,也是力扣第 160 题「 相交链表」函数签名如下:

ListNode getIntersectionNode(ListNode headA, ListNode headB);

给你输入两个链表的头结点 headA 和 headB,这两个链表可能存在相交。

如果相交,你的算法应该返回相交的那个节点;如果没相交,则返回 null。

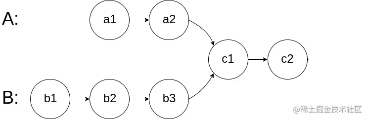
比如题目给我们举的例子,如果输入的两个链表如下图:

那么我们的算法应该返回 c1 这个节点。

这个题直接的想法可能是用 HashSet 记录一个链表的所有节点,然后和另一条链表对比,但这就需要额外的空间。

如果不用额外的空间,只使用两个指针,你如何做呢?

难点在于,由于两条链表的长度可能不同,两条链表之间的节点无法对应:

如果用两个指针 p1 和 p2 分别在两条链表上前进,并不能同时走到公共节点,也就无法得到相交节点 c1

解决这个问题的关键是,通过某些方式,让 p1 和 p2 能够同时到达相交节点 c1

所以,我们可以让 p1 遍历完链表 A 之后开始遍历链表 B,让 p2 遍历完链表 B 之后开始遍历链表 A,这样相当于「逻辑上」两条链表接在了一起。

如果这样进行拼接,就可以让 p1 和 p2 同时进入公共部分,也就是同时到达相交节点 c1

那你可能会问,如果说两个链表没有相交点,是否能够正确的返回 null 呢?

这个逻辑可以覆盖这种情况的,相当于 c1 节点是 null 空指针嘛,可以正确返回 null。

按照这个思路,可以写出如下代码:

ListNode getIntersectionNode(ListNode headA, ListNode headB) {
    // p1 指向 A 链表头结点,p2 指向 B 链表头结点
    ListNode p1 = headA, p2 = headB;
    while (p1 != p2) {
        // p1 走一步,如果走到 A 链表末尾,转到 B 链表
        if (p1 == null) p1 = headB;
        else            p1 = p1.next;
        // p2 走一步,如果走到 B 链表末尾,转到 A 链表
        if (p2 == null) p2 = headA;
        else            p2 = p2.next;
    }
    return p1;
}

这样,这道题就解决了,空间复杂度为 O(1),时间复杂度为 O(N)

以上就是单链表的所有技巧,希望对你有启发。