想发自己的NFT,你要先搞清楚这6个问题

347 阅读9分钟

本文分享自华为云社区《加密数字艺术NFT背后你关心的六个问题》,作者: 薛腾飞 。

Connect Wallet

这是Web3中非常流行的一句话,其实也是Web3的核心要义,即“以用户为中心”。将身份主权、数据主权、数据权益等都归还给用户,身份的解释、移植,数据的确权、授权、使用等都需要各个服务通过“链接”用户的“钱包”来完成。以区块链为基础设施构筑上层应用,是实现这一能力的重要保障。

什么是NFT?

在我看来,NFT是Web3世界中标记数据资产独特性的标识,是数据权益的载体。不论是数字化的画作,桌椅、服装、汽车飞机等(有实物的),还是数字化的身份凭证、产权、公司品牌等(逻辑产物)都可以是NFT。

独特性的标识为什么这么重要呢?因为它能将其指代的物品和其他同类物品区分开。 为了进一步理解,首先要明确,有些物品是非同质的(Non-Fungible)需要被区分开的,例如房屋产权和艺术作品。有些物品是同质的,不需要被区分开,例如人民币和app积分,尽管有不同的编码,但编码不影响互相替换,因为面值一样;其次要区分开标识和标的物,标的物可以是区块链上原生的数据或者本身是数字化的,也可以是物理世界实际存在的物品,标识则是标的物在数字世界中的映射。

在数字世界中,“标识”将完成“标的物”独特性的指代和“标的物”价值承载的使命。例如一个艺术家将数字作品发布在社交平台,其作品会很快被复制多份,每一幅作品逐渐趋于同质化,没有区别。画作的价值也会越来越低,且没有人会知道画作的原作者是谁。但在Web3中,艺术家就可以通过NFT低成本的保证作品的独特性和价值,NFT中会有作品铸造时间、创建者、和当前所有者。只要是晚于铸造时间发布的都为抄袭者,画作所有权每次流转都可以承载不同的价值属性,无论流转多次都知道原作者谁。

image.png

NFT能用来做什么?

海外市场NFT产业布局完善,行业竞争激烈。NFT以交易平台和时尚社交为主,NFT收藏、游戏、金融等同步发展。国内以数字藏品收藏和企业数字营销为主,逐步开始尝试数字人、游戏等。除此之外,NFT的应用场景还包括体育、文物和历史、音乐、票务等访问授权类。

1.收藏品

稀缺性是收藏品的重要属性。区块链的不可篡改以及NFT本身的不可分割保证了数字藏品独特性。与球卡和邮票一样,数字收藏品的藏家会收藏他们认为有价值的数字产品以表示对某一公司、品牌或者游戏支持。有别于实物,无需运输时间,维护成本等开销。只需几秒完成转移,且永远不会折旧。CryptoPunks是以太坊上推出的最早的数字藏品NFT,类似的国内多家互联网平台联合博物馆、航天局等单位,发行了多款数字藏品,例如“故宫故苑”和“航天文创”。

2.游戏

NFT是区块链游戏的基础,可以作为数字游戏世界中成就或游戏物品的所有权证书。移独一无二游戏物品(道具、头像、皮肤、角色等)归玩家所有,且无需托管,不受发行商控制。这些NFT的寿命会比游戏平台本身更长,一方面玩家可以永久收藏,另一方面也可以移植到游戏之外其他平台,实现游戏投入变现。

3.数字营销

NFT“限量发行、独一无二”本身就是一种最好的饥饿营销手段,不定期的赋予每个NFT新的权益,发布新的玩法和活动也都是很好的营销策略。还可以基于NFT维护会员制度、增强用户粘性,完成破圈整合。国内有个很有趣、很有现实意义的的实践。福建省四坪村通过NFT吸引“云村民”并赋予权益,赋能乡村振兴。每一位数字藏品持有者可以作为村民享受多项权益,如享有家宴1次。不同时间不同事件还会解锁新的藏品及权益,丰富有趣。

4.艺术品

在众多的艺术品中,我们以音乐为例,音乐产业是一个超级明星经济, 好的作品诞生涉及音乐人、唱片公司、娱乐公司、经纪人等。NFT可以帮助音乐人收益自主、拓宽收入来源;公平解决所有制作人员间的版税问题,交易中的数字所有权问题等。

除此之外,NFT音乐平台的用户运营,音乐演出的票务活动,知识产权保护等都已有很多创新项目在实践。

国内NFT技术产品有哪些?

随着NFT的火热,国内数字藏品发行平台百花齐放。据统计,其中注册资本大于500万的平台超过100家。市场繁荣的背后是几大技术供应商在提供底层区块链和NFT管理等相关技术能力,以联盟链为主,公链为辅。

image.png

NFT 背的技术是什么?

知道了NFT是什么?能用来做什么?以及都有谁来参与之外,我们再来了解一下NFT背后的技术都有哪些。

1.区块链

区块链是实现NFT的重要底座,赋予了NFT不可篡改、所有权明确、流转可追溯等特性。区块链融合了多种技术,包括密码学(加密算法、安全协议)、分布式共识算法(拜占庭或非拜占庭)、P2P网络通讯、智能合约、激励机制等。

应用的繁荣必将带动技术的生长。NFT应用的快速增长,大量用户接入区块链完成NFT的铸造发行、授权、流转等。这对传统的底层区块链提出了新的挑战和要求。

  • 具备统一的链上用户身份标识,支持跨链、链跨应用的NFT所属权管理。
  • 允许千级、万级节点接入,支持NFT平台发行方等加入链生态的构建与维护。
  • 高吞吐,高并发的共识和记账能力,可以支撑NFT应用活动的峰值流量。

2.智能合约协议

ERC(Ethereum Request for Common)“版本征求意见稿”是以太坊社区的开发者共同编写的,用来记录以太坊上应用级的各种开发标准和协议。其中一些技术标准和协议也逐渐成为了区块链应用的事实规范。

我们常提到的NFT就是在ERC-721标准提出后才开始普及流行的。ERC-721详细定义了NFT的所有权查看、授权管理、流转等。不同的数字藏品平台基于同样的协议完成设计,理论上就可以进行标准化的操作和解析。

随着对NFT的需求越来越丰富,社区也在不断提出新的标准来扩展NFT的使用场景和内涵:

image.png

3. 去中心化存储

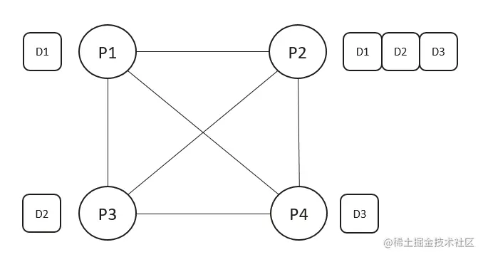
“一切皆可NFT”这句话从侧面表达了NFT对数字化数据的包容性。不论标的物是视频、音频、还是文字、图片、3D模型等各种数据格式,都可以在链上生成对应的唯一标识。标的物实际存储的位置通常有三种选择,NFT标识所在的业务区块链、去中心化存储系统、中心化的存储系统。

image.png

对于NFT而言,去中心化存储是最好的选择。它具有强隐私保护、低存储成本、高访问速度、数据冗余备份、开源等特点,可以充分的支撑Web3“以用户为中心”这一要义的表达。数据被加密并存储在多个位置或节点上,不依赖与中心化的存储节点和存储服务,下图可以极简的理解去中心化存储的工作原理。

image.png

值得关注和学习的几大去中心化存储产品有:

image.png

4.应用生态

不难发现NFT发展背后的主要推动力就是用户对数据主权和数据价值自主控制意识的不断增强。构建完善的NFT应用生态,简单可以分为三层,身份协议层、 NFT合约协议层, 扩展应用协议层。

分布式数字身份真正具备身份的自主可控性、安全性、自解释性、可移植性、互操作性。在分布式场景下赋予每个用户自主控制和使用数字身份的能力,并针对身份数据等敏感信息进行隐私保护。基于分布式身份, NFT相关协议可以与多种扩展应用标准化集成。(详细了解可阅读《区块链分布式身份技术解密——重新定义你的“身份”管理》

在标准化的身份协议层和NFT合约协议层之上,结合多样的业务场景定会生长出丰富的应用,例如可信数据交换、数据要素管理等。

如何发行自己的NFT

不论你是团队还是个人,想要发行自己的NFT都非常简单。

一种,是可以使用基于公链模式的数字自资产服务,支付手续费或者链使用费铸造发行NFT。例如支持多种公链的Opensea平台

另一种,可以使用基于联盟链模式的数字资产服务,订购服务通过集成SDK完成NFT的铸造发行及流转。例如华为云的数字资产链服务

image.png

华为伙伴暨开发者大会2022火热来袭,重磅内容不容错过!

【精彩活动】

勇往直前·做全能开发者→12场技术直播前瞻,8大技术宝典高能输出,还有代码密室、知识竞赛等多轮神秘任务等你来挑战。即刻闯关,开启终极大奖!点击踏上全能开发者晋级之路吧!

【技术专题】

未来已来,2022技术探秘→华为各领域的前沿技术、重磅开源项目、创新的应用实践,站在智能世界的入口,探索未来如何照进现实,干货满满点击了解

点击关注,第一时间了解华为云新鲜技术~