二叉树力扣刷题(12)94. 二叉树的中序遍历,后序,先序

123 阅读1分钟

持续创作,加速成长!这是我参与「掘金日新计划 · 6 月更文挑战」的第16天,点击查看活动详情

94. 二叉树的中序遍历

难度简单1462

给定一个二叉树的根节点 root ,返回 它的 中序 遍历 。

 

示例 1:

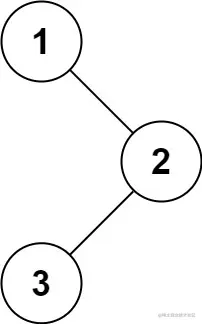
输入: root = [1,null,2,3]
输出: [1,3,2]

示例 2:

输入: root = []
输出: []

示例 3:

输入: root = [1]
输出: [1]

 

提示:

  • 树中节点数目在范围 [0, 100] 内
  • -100 <= Node.val <= 100

 

进阶: 递归算法很简单,你可以通过迭代算法完成吗?

递归算法

代码:

class Solution {
public:
    vector<int> ret;
    vector<int> inorderTraversal(TreeNode* root) {
        if (root == nullptr) return ret;
        inorderTraversal(root->left);
        ret.push_back(root->val);
        inorderTraversal(root->right);
        return ret;
    }
};

迭代算法

代码:

class Solution {
public:
    vector<int> ret;
    stack<TreeNode*>st;
    vector<int> inorderTraversal(TreeNode* root) {
    while (root || !st.empty()) {
        while (root) {
            st.push(root);
            cout<<st.top();
            root = root->left;
        }
        
        root = st.top();
        ret.push_back(root->val);
        st.pop();
        root = root->right;
    }
    return ret;
    }
};

144. 二叉树的前序遍历

递归算法 代码:

class Solution {
public:
    vector<int> ret;
    vector<int> preorderTraversal(TreeNode* root) {
        if (root == nullptr) return ret;
        ret.push_back(root->val);
        preorderTraversal(root->left);
        preorderTraversal(root->right);
        return ret;
    }
};

迭代算法 代码:

class Solution {
public:
    vector<int> ret;
    stack<TreeNode*> res;
    vector<int> preorderTraversal(TreeNode* root) {
        if (root == nullptr) return ret;
        TreeNode* node = root;
        while (node || !res.empty()) {
            while (node) {
                ret.emplace_back(node->val);
                res.emplace(node);
                node = node->left;
            }
            node = res.top();
            res.pop();
            node = node->right;
        }
        return ret;
    }
};

145. 二叉树的后序遍历

难度简单864

给你一棵二叉树的根节点 root ,返回其节点值的 后序遍历

 

示例 1:

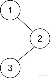
输入: root = [1,null,2,3]
输出: [3,2,1]

示例 2:

输入: root = []
输出: []

示例 3:

输入: root = [1]
输出: [1]

 

提示:

  • 树中节点的数目在范围 [0, 100] 内
  • -100 <= Node.val <= 100

 

进阶: 递归算法很简单,你可以通过迭代算法完成吗?

递归

代码:

class Solution {
public:
    vector<int> ret;
    vector<int> inorderTraversal(TreeNode* root) {
        if (root == nullptr) return ret;
        inorderTraversal(root->left);
        ret.push_back(root->val);
        inorderTraversal(root->right);
        return ret;
    }
};

迭代

代码:

class Solution {
public:
    vector<int> postorderTraversal(TreeNode *root) {
        vector<int> res;
        if (root == nullptr) {
            return res;
        }

        stack<TreeNode *> stk;
        TreeNode *prev = nullptr;
        while (root != nullptr || !stk.empty()) {
            while (root != nullptr) {
                stk.emplace(root);
                root = root->left;
            }
            root = stk.top();
            stk.pop();
            if (root->right == nullptr || root->right == prev) {
                res.emplace_back(root->val);
                prev = root;
                root = nullptr;
            } else {
                stk.emplace(root);
                root = root->right;
            }
        }
        return res;
    }
};