数据结构-栈的应用-递归

169 阅读2分钟

本文已参与「新人创作礼」活动,一起开启掘金创作之路。

栈的应用-递归

1. 函数调用栈

函数调用栈一般是从高地址向低地址增长的,栈底为内存的高地址处,栈顶为内存的低地址处

函数调用栈中存储的数据为活动记录,活动记录是函数调用时一系列相关信息的记录

程序的栈空间可以看做一个顺序栈的应用,栈保存了一个函数调用时所需要的维护信息,包括函数参数,函数返回地址,局部变量, 函数调用上下文。

在不断的压栈过程中造成栈空间耗尽而产生栈溢出,栈溢出常由于函数递归过深或局部数组过大而造成。

2. 递归的定义

​ 在高级语言中,调用自己和其它函数并没有本质的不同。我们把一个直接调用自己或通过一系列的调用语句间接地调用自己的函数,称做递归函数。

每个递归定义必须至少有一个条件,满足时递归不再进行,即不再引用自身而是返回值退出。

3. 递归的实例

(1)递归求n的阶乘

#include<stdio.h> 

long fact(int n)
{	
	long t;
 	if(n==0||n==1) t=1;
 	else t=n*fact(n-1);
 	return t;
}

int main()
{	
	int n=4;
	long f; 
	f= fact(n);
 	printf("%d!=%ld\n",n,f );
 	return 0;
}

分析:

在这里插入图片描述

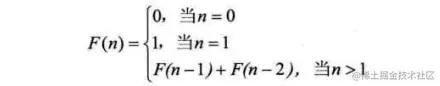
(2)斐波那契数列

斐波那契数列:1,1,2,3,5,8,13......... (前相邻两项之和,构成了后一项)

在这里插入图片描述

问题:打印出前40位的斐波那契数列

解法1:迭代法
int main()
{
    int i;
    int a[40];
    a[0] = 0;
    a[1] = 1;
    printf("%d ",a[0]);
    printf("%d ",a[1]);
    for(i=2;i<40;i++){
        a[i] = a[i-1]+a[i-2];
        printf("%d ",a[i]);
    }
    return 0;
}
解法2:递归法
int Fbi(int i)
{
	if(i<2)
		return i == 0 ? 01;
	return Fbi(i-1)+Fbi(i-2);
}

int main(){
	int i;
	printf("递归显示斐波那契数列:\n");
	for(i=0;i<40;i++){
		printf("%d ",Fbi(i))
	}
	return 0;
}

分析:模拟i=5的执行过程

在这里插入图片描述

对比两种实现斐波那契的代码。递归和迭代的区别是:迭代使用的是循环结构,递归使用的是选择结构。递归能使程序的结构更清晰,更间洁,更容易让人理解,从而减少读代码的时间。但是大量的递归调用会建立函数副本,会耗费大量的时间和内存。迭代则不需要反复调用函数和占用额外的内存。因此我们应该视不同情况选择不同的代码实现方式。

(3)n阶Hanoi塔问题

问题描述:假设有三个分别命名为A,B,C的塔座,在塔座x上插有n个直径大小各不相同,且从小到大编号分别为1,2,..,n的圆盘,现要求将塔座A上的n个圆盘借助塔柱B移动到塔柱C,且仍按相同顺序叠排,圆盘移动时需遵循以下规则:

1) 每次只能移动一个圆盘

2)圆盘可以插在A,B,C中的任何一个塔座上

3)任何时刻不能将较大的圆盘压在较小的圆盘上

#include<stdio.h>

void move(char A, char B){
	printf("%c -> %c\n",A,B);
}
void hanoi(int n,char A,char B,char C){
	if(n==1){
		move(A,C);
	}	
	else{
		hanoi(n-1,A,C,B);
		move(A,C);
		hanoi(n-1,B,A,C);
	}
}

int main(){
	hanoi(2,'A','B','C');
	
	return 0;
}