leetcode 257. Binary Tree Paths 二叉树的所有路径(简单)

292 阅读1分钟

持续创作,加速成长!这是我参与「掘金日新计划 · 6 月更文挑战」的第18天,点击查看活动详情

一、题目大意

标签: 搜索

leetcode.cn/problems/bi…

给你一个二叉树的根节点 root ,按 任意顺序 ,返回所有从根节点到叶子节点的路径。

叶子节点 是指没有子节点的节点。

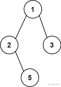
示例 1:

image.png

输入:root = [1,2,3,null,5] 输出:["1->2->5","1->3"]

示例 2:

输入:root = [1] 输出:["1"]

提示:

树中节点的数目在范围 [1, 100] 内 -100 <= Node.val <= 100

二、解题思路

dfs解决即可

三、解题方法

3.1 Java实现

/**
 * Definition for a binary tree node.
 * public class TreeNode {
 *     int val;
 *     TreeNode left;
 *     TreeNode right;
 *     TreeNode() {}
 *     TreeNode(int val) { this.val = val; }
 *     TreeNode(int val, TreeNode left, TreeNode right) {
 *         this.val = val;
 *         this.left = left;
 *         this.right = right;
 *     }
 * }
 */
class Solution {
    public List<String> binaryTreePaths(TreeNode root) {
        List<String> ans = new ArrayList<>();
        dfs(root, "", ans);
        return ans;
    }

    void dfs(TreeNode node, String path, List<String> ans) {
        boolean end = true;
        if ("".equals(path)) {
            path = String.valueOf(node.val);
        } else {
            path += "->" + node.val;
        }
        if (node.left != null) {
            dfs(node.left, path, ans);
            end = false;
        }
        if (node.right != null) {
            dfs(node.right, path, ans);
            end = false;
        }
        if (end) {
            ans.add(path);
        }
    }
}

四、总结小记

  • 2022/6/11 做完前几个中等的搜索题,再做简单的就很简单了