二叉树力扣刷题(12)337. 打家劫舍 III

235 阅读2分钟

持续创作,加速成长!这是我参与「掘金日新计划 · 6 月更文挑战」的第15天,点击查看活动详情

这道题是树形DP的入门题目,通过这道题目大家应该也了解了,所谓树形DP就是在树上进行递归公式的推导。

337. 打家劫舍 III

难度中等1333

小偷又发现了一个新的可行窃的地区。这个地区只有一个入口,我们称之为 root 。

除了 root 之外,每栋房子有且只有一个“父“房子与之相连。一番侦察之后,聪明的小偷意识到“这个地方的所有房屋的排列类似于一棵二叉树”。 如果 两个直接相连的房子在同一天晚上被打劫 ,房屋将自动报警。

给定二叉树的 root 。返回 在不触动警报的情况下 ,小偷能够盗取的最高金额 。

 

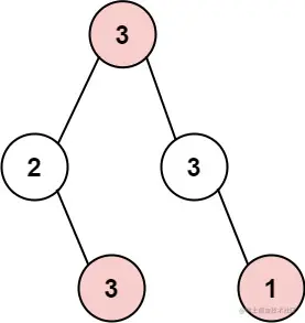
示例 1:

输入: root = [3,2,3,null,3,null,1]
输出: 7 
解释: 小偷一晚能够盗取的最高金额 3 + 3 + 1 = 7

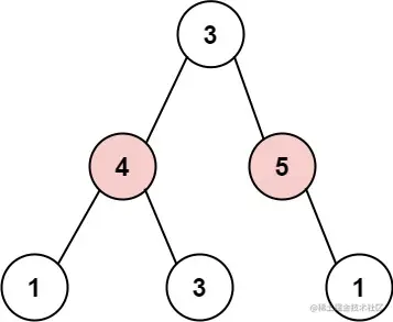
示例 2:

输入: root = [3,4,5,1,3,null,1]
输出: 9
解释: 小偷一晚能够盗取的最高金额 4 + 5 = 9

 

提示:

  • 树的节点数在 [1, 104] 范围内
  • 0 <= Node.val <= 104

思路:

用两个数组分别存储左和右

left[0]为不偷当前结点,left[1]为偷当前结点

right[0]为不偷当前结点,right[1]为偷当前结点 最后比较出其左右最大值

代码:

class Solution {
public:
//0不偷,1偷
    int rob(TreeNode* root) {
        vector<int> result = robTree(root);
        return max(result[0], result[1]);
    }

    vector<int> robTree(TreeNode*cur) {
        if (cur == nullptr) return vector<int> {0, 0};
        vector<int> left = robTree(cur->left);           //左数组
        vector<int> right = robTree(cur->right);         //右数组

        int val1 = cur->val + left[0] + right[0];        //偷此代+隔二代偷
        int val0 = max(left[0], left[1]) + max(right[0], right[1]);   //不偷此代+隔一代偷
        return{val0, val1};
    }
};