LeetCode - #103 二叉树的锯齿形层序遍历

774 阅读2分钟

持续创作,加速成长!这是我参与「掘金日新计划 · 6 月更文挑战」的第18天,点击查看活动详情

前言

我们社区陆续会将顾毅(Netflix 增长黑客,《iOS 面试之道》作者,ACE 职业健身教练。)的 Swift 算法题题解整理为文字版以方便大家学习与阅读。

LeetCode 算法到目前我们已经更新到 103 期,我们会保持更新时间和进度(周一、周三、周五早上 9:00 发布),每期的内容不多,我们希望大家可以在上班路上阅读,长久积累会有很大提升。

不积跬步,无以至千里;不积小流,无以成江海,Swift社区 伴你前行。如果大家有建议和意见欢迎在文末留言,我们会尽力满足大家的需求。

难度水平:中等

1. 描述

给你二叉树的根节点 root ,返回其节点值的 锯齿形层序遍历 。(即先从左往右,再从右往左进行下一层遍历,以此类推,层与层之间交替进行)。

2. 示例

示例 1

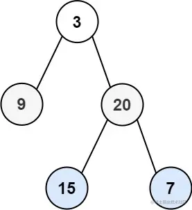
输入:root = [3,9,20,null,null,15,7]
输出:[[3],[20,9],[15,7]]

示例 2

输入:root = [1]
输出:[[1]]

示例 3

输入:root = []
输出:[]

约束条件:

  • 树中节点数目在范围 [0, 2000]
  • -100 <= Node.val <= 100

3. 答案

/**
 * Definition for a binary tree node.
 * struct TreeNode {
 *     int val;
 *     TreeNode *left;
 *     TreeNode *right;
 *     TreeNode() : val(0), left(nullptr), right(nullptr) {}
 *     TreeNode(int x) : val(x), left(nullptr), right(nullptr) {}
 *     TreeNode(int x, TreeNode *left, TreeNode *right) : val(x), left(left), right(right) {}
 * };
 */
 
class BinaryTreeZigzagLevelOrderTraversal {
    func zigzagLevelOrder(root: TreeNode?) -> [[Int]] {
        guard let root = root else {
            return [[Int]]()
        }
        
        var res = [[Int]](), isReverse = false, nodeQ = [root]
        
        while !nodeQ.isEmpty {
            let currentLevel = nodeQ.map { $0.val }
            res.append(isReverse ? currentLevel.reversed() : currentLevel)
            
            isReverse = !isReverse
            
            nodeQ = nodeQ.flatMap { [$0.left, $0.right].compactMap { $0 } }
        }
        
        return res
    }
}
  • 主要思想:使用一个队列来帮助保存 reeNode,并为每一层添加一个新的 Int 数组。
  • 时间复杂度: O(n)
  • 空间复杂度: O(n)

注意:使用布尔值来确定是否需要反向添加

该算法题解的仓库:LeetCode-Swift

点击前往 LeetCode 练习

关于我们

我们是由 Swift 爱好者共同维护,我们会分享以 Swift 实战、SwiftUI、Swift 基础为核心的技术内容,也整理收集优秀的学习资料。