二叉树力扣刷题(11)297. 二叉树的序列化与反序列化

120 阅读2分钟

持续创作,加速成长!这是我参与「掘金日新计划 · 6 月更文挑战」的第15天,点击查看活动详情

297. 二叉树的序列化与反序列化

难度困难890

序列化是将一个数据结构或者对象转换为连续的比特位的操作,进而可以将转换后的数据存储在一个文件或者内存中,同时也可以通过网络传输到另一个计算机环境,采取相反方式重构得到原数据。

请设计一个算法来实现二叉树的序列化与反序列化。这里不限定你的序列 / 反序列化算法执行逻辑,你只需要保证一个二叉树可以被序列化为一个字符串并且将这个字符串反序列化为原始的树结构。

提示: 输入输出格式与 LeetCode 目前使用的方式一致,详情请参阅 LeetCode 序列化二叉树的格式。你并非必须采取这种方式,你也可以采用其他的方法解决这个问题。

 

示例 1:

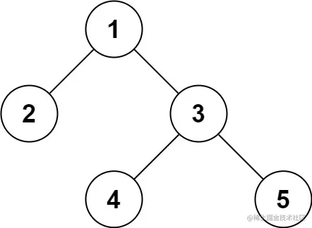
输入: root = [1,2,3,null,null,4,5]
输出: [1,2,3,null,null,4,5]

示例 2:

输入: root = []
输出: []

示例 3:

输入: root = [1]
输出: [1]

示例 4:

输入: root = [1,2]
输出: [1,2]

 

提示:

  • 树中结点数在范围 [0, 104] 内
  • -1000 <= Node.val <= 1000

思路:

serialize函数是为了将树解码为string类型,如果为NULL则用X代替 deserialize函数是为了将string解码为树类型,先用split函数解析为没有","然后再放入树中

代码:

class Codec {
public:

    // Encodes a tree to a single string.          //编码一个树成为字符串
    string serialize(TreeNode* root) {             // 1,2,x,x,3,4,x,x,5,x,x;
        if (root == NULL) return "X,";
        string leftNode = serialize(root->left);
        string rightNode = serialize(root->right);
        return to_string(root->val) + "," + leftNode + rightNode;
    }

    // Decodes your encoded data to tree.          //解码字符串成为树
    TreeNode* deserialize(string data) {           
        list <string> list = split(data, ',');         //12345
        TreeNode*res = builldTree(list);
        return res;
    }

    static TreeNode*builldTree(list<string> &strList) {
        string strtmp = strList.front();
        strList.pop_front();
        if (strtmp == "X") return NULL;
        TreeNode*node = new TreeNode(stoi(strtmp));               //stoi 将字符串转为10进制
        node->left = builldTree(strList);
        node->right = builldTree(strList);
        return node;
    }
    static list<string> split(string &str, char c) {             //12xx34xx5xx
        list<string> res;
        for (int lastpos = -1, pos = 0; pos<str.length(); pos++) {
            if (str[pos] == c) {
                res.push_back(str.substr(++lastpos, pos-lastpos));
                lastpos = pos;
            }
        }
        return res;
    }
};