软件项目管理 7.1.项目进度基本概念

278 阅读5分钟

持续创作,加速成长!这是我参与「掘金日新计划 · 6 月更文挑战」的第18天,点击查看活动详情

【公众号@ “项目管理研究所” 将会第一时间更新文章并分享《行业分析报告》】
归档于软件项目管理初级学习路线
第七章 软件项目进度计划
《初级学习路线合集 》


前言

大家好,这节我们学习软件项目管理—进度基本概念。

首先介绍进度计划的重要性:

  1. 按时完成项目是项目经理最大的挑战之一
  2. 时间是项目规划中灵活性最小的因素
  3. 进度问题是项目冲突的主要原因

进度是对执行的活动和里程碑制定的工作计划日期表。

项目进度计划过程

任务定义:

WBS定义了交付成果,为了完成项目的各个交付成果,所必须进行的所有具体活动就是项目任务。

例如这是某项目的WBS,其中这个设计工作包交付成果就是设计说明书,为次需要两个任务,任务一和任务二。

任务一是编写设计说明书,任务二是设计评审,以此类推,我们定义所有的项目任务。

项目的任务之间存在一定的关联关系,例如编写设计说明书之后,才可以进行设计评审。

任务关系:

由于项目各项任务之间存在一定的关联关系,需要根据这些关系安排任务之间的顺序。

例如有的任务是前置,有的任务是后置任务。

任务之间的关系主要有四种逻辑关系。如图所示:其中最常用的关系是结束-开始的逻辑关系。

任务之间关联关系的依据,我们总结出了四个关系:

  1. 强制性依赖关系:他是任务之间共有的依赖关系,而不以人的意志为转移的,所以是硬逻辑。例如:编写设计说明书与设计评审就是强制性依赖关系。
  2. 软逻辑关系:不是硬逻辑关系,不是任务之间共有的关系,但是是主观的安排,是安排者有一定逻辑考虑的关系。
  3. 外部依赖关系:是依赖于项目之外因素的一种关系。例如:用户环境测试,这个活动我们要依赖于用户环境准备好。
  4. 内部依赖关系:他是内部的一种强制性关系

我们根据任务的依赖关系,可以确认项目任务关系依赖矩阵,例如这个图:其中d (i,j)=1,标识d(i)是d(j)的前置,否则d(i,j)等于0;

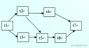
例如这是某项目的网络关系图,他说明了任务之间的关联关系,其中他t1是t2、t3的前置,通过这些关系,我们可以的得出依赖矩阵。


那么t1是t2、t3的前置,我们就可以看到关联矩阵第一行的第二第三列为1。

进度管理图示:

传统进度管理:

  1. 网络图
  2. 甘特图
  3. 里程碑图
  4. 资源图

敏捷项目进度管理:

  1. 燃尽图(Burndown Chart)
  2. 燃起图(Burnup Chart)

常用的网络图:
网络图是活动排序的一个输出,可以展示项目中各个活动与活动之间的逻辑关系。常用的图有PDM网络图和ADM网络图。

这是一个PDM网络图,结点表示项目任务,其中的箭线表示任务之间的逻辑关系,他可以方便的表示任务之间的逻辑关系。我们前面提到的四种逻辑关系,PDM网络图都是可以体现出来的。

这是某项目的PDM网络图,我们把它转应成对应的ADM网络图。

ADM网络图又称为双代号网络图,在ADM网络图中,箭线表示任务,两个代号唯一确定一个任务所以叫双代号,那么代号代表前一个任务的结束,同时也表示后一个任务的开始。

那么ADM网络图是有虚活动的,例如我们看ADM网络图当中,6——5之间虚线就是虚活动。那么虚活动不是一个真实的活动,就是为了表示逻辑关系,也不需要消耗资源的这么一个活动。

例如某活动A和B,从逻辑上都是1——2,如果我们表达成这么一个形式是不对的。所以应该增加一个3——2的一个虚活动,其中1——2是活动A,1——3表示活动B。

甘特图-实例:

甘特图可以显示任务的基本信息,方便查看任务的工期,开始和结束时间以及资源的信息。

里程碑图:

他可以显示项目进展中重大工作的完成情况,表示事件的一个标记,不需要消耗资源和时间。

资源图:

资源图用来表示项目进展中资源的分配情况。

敏捷项目进度任务图示主要采用燃尽图和燃起图:

燃尽图表示还有多少任务没有完成,如图所示:

燃起图表示已经完成了多少任务,如图所示:

总结

到这里,第七章 第一节 进度管理基本概念就讲解完毕了!下一节介绍传统历时估算~

如果您觉得这篇文章有帮助到您的的话不妨点赞支持一下哟~~😉

后续将持续更新【软件项目管理初级学习路线】的全知识点,大家感兴趣的多多关注博主哟~
————————————————