二叉树力扣刷题(10)124. 二叉树中的最大路径和 112. 路径总和

142 阅读2分钟

持续创作,加速成长!这是我参与「掘金日新计划 · 6 月更文挑战」的第14天,点击查看活动详情

124. 二叉树中的最大路径和

难度困难1616

路径 被定义为一条从树中任意节点出发,沿父节点-子节点连接,达到任意节点的序列。同一个节点在一条路径序列中 至多出现一次 。该路径 至少包含一个 节点,且不一定经过根节点。

路径和 是路径中各节点值的总和。

给你一个二叉树的根节点 root ,返回其 最大路径和 。

 

示例 1:

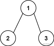
输入: root = [1,2,3]
输出: 6
解释: 最优路径是 2 -> 1 -> 3 ,路径和为 2 + 1 + 3 = 6

示例 2:

输入: root = [-10,9,20,null,null,15,7]
输出: 42
解释: 最优路径是 15 -> 20 -> 7 ,路径和为 15 + 20 + 7 = 42

 

提示:

  • 树中节点数目范围是 [1, 3 * 104]
  • -1000 <= Node.val <= 1000

思路:

先找叶子节点的最大,然后根节点最大(即全局最优)

代码:

class Solution {
public:
    int ans = INT_MIN;
    int dfs(TreeNode*root) {
        if (root == nullptr) return 0;
        int left = dfs(root->left);
        int right = dfs(root->right);
        int a = root->val + left + right;      //全局
        ans = max(a, ans);
        int b = root->val + max(left, right);  //部分
        return max(b, 0);
    }
    int maxPathSum(TreeNode* root) {
        dfs(root);
        return ans;
    }
};

112. 路径总和

难度简单910

给你二叉树的根节点 root 和一个表示目标和的整数 targetSum 。判断该树中是否存在 根节点到叶子节点 的路径,这条路径上所有节点值相加等于目标和 targetSum 。如果存在,返回 true ;否则,返回 false 。

叶子节点 是指没有子节点的节点。

 

示例 1:

输入: root = [5,4,8,11,null,13,4,7,2,null,null,null,1], targetSum = 22
输出: true
解释: 等于目标和的根节点到叶节点路径如上图所示。

示例 2:

输入: root = [1,2,3], targetSum = 5
输出: false
解释: 树中存在两条根节点到叶子节点的路径:
(1 --> 2): 和为 3
(1 --> 3): 和为 4
不存在 sum = 5 的根节点到叶子节点的路径。

示例 3:

输入: root = [], targetSum = 0
输出: false
解释: 由于树是空的,所以不存在根节点到叶子节点的路径。

 

提示:

  • 树中节点的数目在范围 [0, 5000] 内
  • -1000 <= Node.val <= 1000
  • -1000 <= targetSum <= 1000

代码:

class Solution {
public:
    int d = 0;
    bool dfs(TreeNode*cur, int m) {
        if (!cur->left && !cur->right && m == 0) d = 1;      //用一个d来表示是否满足题目条件
        if (!cur->left && !cur->right) return false;
        if (cur->left) {                                     
            m -= cur->left->val;
            dfs(cur->left, m);
            m += cur->left->val;
        }
        if (cur->right) {
            m -= cur->right->val;
            dfs(cur->right, m);
            m += cur->right->val;
        }
        return false;
    }
    bool hasPathSum(TreeNode* root, int targetSum) {
        if (root == nullptr) return false;
        dfs(root, targetSum - root->val);
        if (d == 1) return true;
        else return false;
    }
};