矩阵记录

183 阅读1分钟

2维坐标中的变换矩阵

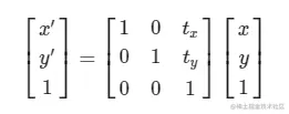
平移

tx: x轴方向的平移量;ty:y轴方向的平移量

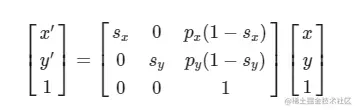
缩放

点(x,y)相对于(px,py)点缩放;sx为x轴方向的缩放量;sy为y轴方向的缩放量

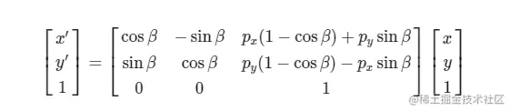
旋转

3维坐标中的变换

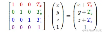
平移

tx:x轴方向的平移量;ty:y轴方向的平移量;tz:z轴方向的平移量

缩放

s1:x轴方向的缩放量;s2:y轴方向的缩放量;s3:z轴方向的缩放量

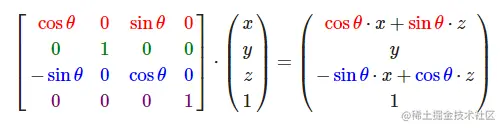
旋转

(Rx, Ry, Rz)表示任意轴,θ表示旋转的角度

绕x轴旋转,θ表示旋转的角度

绕y轴旋转,θ表示旋转的角度

绕z轴旋转,θ表示旋转的角度

参考:

pengfeixc.com/blog/60a749…