图解Tire树+代码实现

495 阅读3分钟

简介

Trie又称为前缀树或字典树,是一种有序树,它是一种专门用来处理串匹配的数据结构,用来解决一组字符中快速查找某个字符串的问题。Google搜索的关键字提示功能相信大家都不陌生,我们在输入框中进行搜索的时候,会下拉出一系列候选关键词。

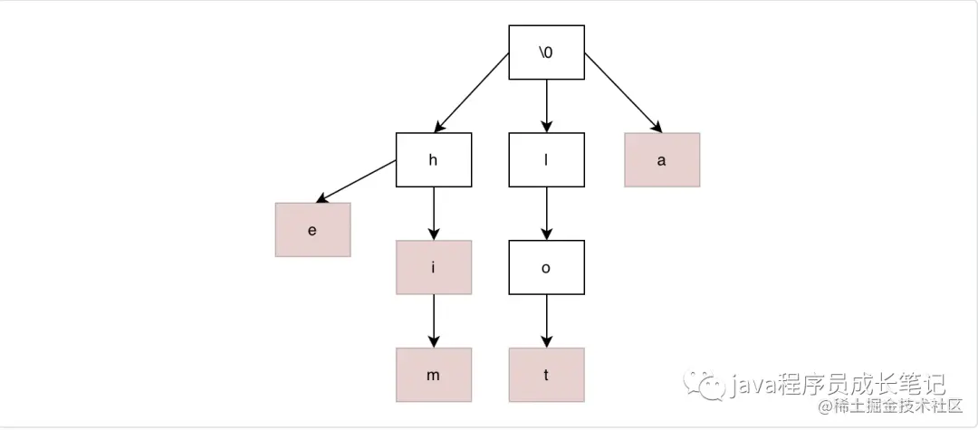
上面这个关键词提示功能,底层最基本的原理就是我们今天说的数据结构:Trie树 我们先看看Tire树长什么样子,以单纯的单词匹配为例,首先它是一棵多叉树结构,根节点是一个空字符,树中节点分为普通节点和结尾节点(如图中红色节点)。结尾节点表示加上前面前缀,可以称为一个单词,如图中hi,him。

工作过程

Tire树与之前串匹配最大的不同点是,之前我们都是单模式串,查看主串中是否有与模式串匹配的子串,操作过程也是用模式串去与主串进行比较。而Tire树是多模式串,我们先将模式串提前构建成Tire树,然后查看主串是否匹配模式串,且更适用于类似如上关键词提示的前缀匹配。接下来我们自己通过实现一个简易的关键词提示功能来讲解Tire树。

数据结构

一个value存储当前节点值,用一个26大小的数组存储当前节点的孩子节点,这是一个简单但是可能产生浪费的方法,可以采用有序存入采用二分法查找,或者采用hash表,跳表进行优化。一个标志当前节点是否可作为尾节点

/**     * Trie树节点     * 假设我们只做26个小写字母下的匹配     */    public static class Node{        //当前节点值        private char value;        //当前节点的孩子节点        private Node[] childNode;        //标志当前节点是否是某单词结尾        private boolean isTail;        public Node(char value) {            this.value = value;        }    }

初始化

初始化一个仅有root节点的Tire树,root节点值为'/0'。

Node root;public void init() {        root = new Node('\0');        root.childNode = new Node[26];}

构建字典树

将需要加入的模式串加入Tire树,遍历当前字符串字符,从Tire树根节点开始查找当前字符,如果字符已经存在不需要处理,并且从这个字符节点出发,查看下一个字符是否存在,如果当前节点不存Tire树,才需要插入当前字符,当插入最后一个字符时需要标志当前字符节点为尾节点。

/**     * 将当前串插入字典树     * @param chars     */    public void insertStr(char[] chars) {        //首先判断首字符是否已经在字典树中,然后判断第二字符,依次往下进行判断,找到第一个不存在的字符进行插入孩节点        Node p = root;        //表明当前处理到了第几个字符        int chIndex = 0;        while (chIndex < chars.length) {            while (chIndex < chars.length && null != p) {                Node[] children = p.childNode;                boolean find = false;                for (Node child : children) {                    if (null == child) {continue;}                    if (child.value == chars[chIndex]) {                        //当前字符已经存在,不需要再进行存储                        //从当前节点出发,存储下一个字符                        p = child;                        ++ chIndex;                        find = true;                        break;                    }                }                if (Boolean.TRUE.equals(find)) {                    //在孩子中找到了 不用再次存储                    break;                }                //如果把孩子节点都找遍了,还没有找到这个字符,直接将这个字符加入当前节点的孩子节点                Node node = new Node(chars[chIndex]);                node.childNode = new Node[26];                children[chars[chIndex] - 'a'] = node;                p = node;                ++ chIndex;            }        }        //字符串中字符全部进入tire树中后,将最后一个字符所在节点标志为结尾节点        p.isTail = true;    }

应用

匹配有效单词

遍历字符串,从根节点出发,查看字符是否存在,只要存在不存在的情况,直接返回false,如果每个字符都存在,判断最后一个字符是否为结尾节点,如果不是,到这里还不是一个有效单词,返回false,否则,返回true。

 /**     * 查看当前字符串是否可以在trie中找到     * @param str 主串     * @return true/false     */    public boolean isMatch(String str) {        //从root开始进行匹配,只要有一个找不到即为匹配失败        char[] chars = str.toCharArray();        int chIndex = 0;        Node p = root;        while (null != p) {            Node[] children = p.childNode;            boolean flag = false;            for (Node child : children) {                if (null == child) {continue;}                if (child.value == chars[chIndex]) {                    flag = true;                    p = child;                    ++ chIndex;                    //当比较最后一个字符的时候,这个字符需要是结尾字符才能完全匹配                    if (chIndex == chars.length && p.isTail) {                        return true;                    }                    break;                }            }            if (Boolean.FALSE.equals(flag)) {                return false;            }        }        return false;    }

测试样例:

public static void main(String[] args) {        //he, him, lot, a        //初始化Tire树        Trie trie = new Trie();        trie.init();        //构建Tire树,只有以下单词才是有效单词        trie.insertStr("he".toCharArray());        trie.insertStr("him".toCharArray());        trie.insertStr("lot".toCharArray());        trie.insertStr("a".toCharArray());        //匹配字符串是否为有效单词        System.out.println(trie.isMatch("lot"));        System.out.println(trie.isMatch("lit"));    }

运行结果:

关键词提示

根据输入的关键词前缀,匹配所有可能出现的关键词。首先遍历字符串,从节点出发,只要有一个找不到,直接返回null,直至找到最后一个字符对应的节点,从该节点出发找到所有尾节点。

 /**     * 找到所有以str为前缀的字符串     * @param str 前缀串     * @return 所有以str为前缀的单词     */    public List<String> findStrPrefix(String str) {        //根据str首先找到str最后一个字符,然后从这个字符出发,找到所有字符串        List<String> result = new ArrayList<>();        char[] chars = str.toCharArray();        //分成两步走        //1。找到str最后一个自字符在字典树中的node        //2。从该node出发,找到所有的结尾node,即为以str为前缀的字符串        int chIndex = 0;        Node p = root;        while (null != p && chIndex < chars.length) {            Node[] children = p.childNode;            boolean flag = false;            for (Node child : children) {                if (null == child) {continue;}                if (child.value == chars[chIndex]) {                    //已经找到                    p = child;                    flag = true;                    ++ chIndex;                    break;                }            }            //如果没有找到,直接返回空            if (Boolean.FALSE.equals(flag)) {                return null;            }        }        //找到了最后一个节点        //深度优先遍历,查找所有尾节点        this.dfs(p, new StringBuilder(str), result);        return result;    }    public void dfs(Node p, StringBuilder str, List<String> result) {        Node[] children = p.childNode;        for (Node child : children) {            if (null == child) {                continue;            }            str.append(child.value);            if (child.isTail) {                result.add(str.toString());            }            //再递归查当前节点的孩子节点            dfs(child, str, result);            //需要将刚刚set进去的节点删除,否则影响当前节点的下一个孩子节点            //举个例子,h的孩子节点有e,i,当e放进去之后不拿出来,在遍历到i的时候,就会形成hei            str.setLength(str.length() - 1);        }    }

测试样例

public static void main(String[] args) {        //he, him, lot, a        //初始化Tire树        Trie trie = new Trie();        trie.init();        //构建Tire树,只有以下单词才是有效单词        trie.insertStr("he".toCharArray());        trie.insertStr("him".toCharArray());        trie.insertStr("lot".toCharArray());        trie.insertStr("a".toCharArray());        //匹配字符串是否为有效单词        List<String> strings = trie.findStrPrefix("h");    }

运行结果

总结


到这里Trie树就讲完了,主要就是聚合前缀,通过树的特性,按照链路进行访问,同时标志尾节点,标志到当前节点是一个完整的字符串。

本文使用 文章同步助手 同步