数据分析应用统计学之基本统计量【平均数、众数、中位数、四分位数】

883 阅读2分钟

文章目录

1、平均数(X bar)

1)算数平均数
在一组数据中所有数据之和再除以数据的个数,是反映数据集中趋势的一项指标:
1.1

2)加权平均数
加权平均数是不同比重数据的平均数,加权平均数就是把原始数据按照合理的比例来计算:
1.2
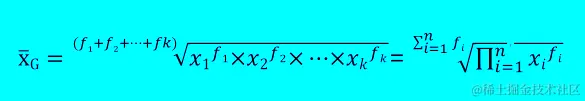
3)简单几何平均数(X G bar)
用在求增长率方面非常直观:
1.3
4)加权几何平均数
主要是金融分析行业使用较多,电商分析不常用:
1.4
5)平均数用处

  • 易受极端值影响
  • 数学性质优良
  • 数据对称分布或接近对称分布时应用

2、众数(M0)

1)组数据中出现次数最多的变量值
2)适合于数据量较多时使用
3)不受极端值的影响组数据可能没有众数或有几个众数
4)主要用于分类数据,也可用于顺序数据和数值型数据
5)一组数据可能没有众数也可能有几个众数

3、中位数(Me)

1)不受极端值的影响。在有极端数值出现时,中位数作为分析现象中集中趋势的数值,比平均数更具有代表性
2)主要用于顺序数据,也可以用数值型数据,但不能用于分类数据
3)各变量值与中位数的离差绝对值之和最小

4、四分位数

4.1

1)把所有数值由小到大排列并分成四等份,处于三个分割点位置的数值就是四分位数;

2)用于统计学中的箱线图绘制;

3)中位数把数集分成两个50%,下四分位就是把前50%分成两个25%, . 上四分位就是把后50%,分成两个25% .

4)四分位数的计算
比如有以下8个数:1、2、4、5、6、8、32、64

Q1在第(8+1)/4=2.25位,介于第二和第三位之间,但是更靠近第二位;所以第二位数权重占75%,第三位数权重占25%:Q1=(2*0.75+4*0.25)/(0.75+0.25)=2.5;

Q2在第(8+1)/2=4.5位,即第4和第5位的平均数,Q2=5.5;

同理,Q3在第(8+1)/4*3=6.75位,在第6位和第7位之间,更靠近第7位;所以,第7位权重75%,第6位权重25%:Q3=(32*0.75+8*0.25)/(0.75+0.25)=26;

5)最终用在箱型图上
4.5