二叉树力扣刷题(9)669. 修剪二叉搜索树 108. 将有序数组转换为二叉搜索树

76 阅读2分钟

持续创作,加速成长!这是我参与「掘金日新计划 · 6 月更文挑战」的第13天,点击查看活动详情

669. 修剪二叉搜索树

难度中等551

给你二叉搜索树的根节点 root ,同时给定最小边界low 和最大边界 high。通过修剪二叉搜索树,使得所有节点的值在[low, high]中。修剪树 不应该 改变保留在树中的元素的相对结构 (即,如果没有被移除,原有的父代子代关系都应当保留)。 可以证明,存在 唯一的答案 。

所以结果应当返回修剪好的二叉搜索树的新的根节点。注意,根节点可能会根据给定的边界发生改变。

 

示例 1:

输入: root = [1,0,2], low = 1, high = 2
输出: [1,null,2]

示例 2:

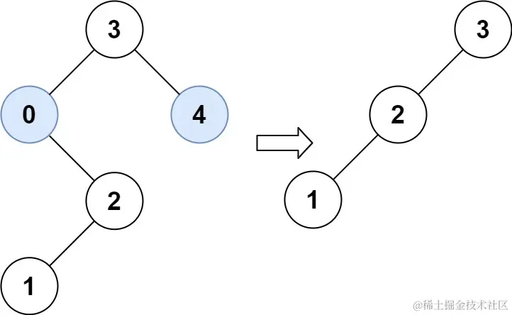
输入: root = [3,0,4,null,2,null,null,1], low = 1, high = 3
输出: [3,2,null,1]

 

提示:

  • 树中节点数在范围 [1, 104] 内
  • 0 <= Node.val <= 104
  • 树中每个节点的值都是 唯一 的
  • 题目数据保证输入是一棵有效的二叉搜索树
  • 0 <= low <= high <= 104

思路:

找出不在low - high范围内的值,比low小则向右寻找,大于high则向左寻找

代码:

class Solution {
public:
    TreeNode* trimBST(TreeNode* root, int low, int high) {
        if (root == nullptr) return root;
        if (root->val < low ) {
            return trimBST(root->right, low, high);
        }
        if (root->val > high) {
            return trimBST(root->left, low, high);
        }
        //自然遍历
        root->left =  trimBST(root->left, low, high);
        root->right = trimBST(root->right, low, high);
        return root;
    }
};

108. 将有序数组转换为二叉搜索树

难度简单1058

给你一个整数数组 nums ,其中元素已经按 升序 排列,请你将其转换为一棵 高度平衡 二叉搜索树。

高度平衡 二叉树是一棵满足「每个节点的左右两个子树的高度差的绝对值不超过 1 」的二叉树。

 

示例 1:

输入: nums = [-10,-3,0,5,9]
输出: [0,-3,9,-10,null,5]
解释: [0,-10,5,null,-3,null,9] 也将被视为正确答案:

示例 2:

输入: nums = [1,3]
输出: [3,1]
解释: [1,null,3][3,1] 都是高度平衡二叉搜索树。

 

提示:

  • 1 <= nums.length <= 104
  • -104 <= nums[i] <= 104
  • nums 按 严格递增 顺序排列

思路:

每次找到数组中间的值并且遍历。

代码:

class Solution {
public:
    TreeNode*reversal(vector<int> &num, int start, int end) {
        if (end < start) return nullptr;
        int mid = start + (end - start) / 2;
        TreeNode*root = new TreeNode(num[mid]);
        root->left = reversal(num, start, mid - 1);
        root->right = reversal(num, mid + 1, end);
        return root;
    }
    TreeNode* sortedArrayToBST(vector<int>& nums) {
        TreeNode * root = reversal(nums, 0, nums.size() - 1);
        return root;
    }
};