【自制软件】PDF学习宝-开发日记10--数据库设计

243 阅读2分钟

持续创作,加速成长!这是我参与「掘金日新计划 · 6 月更文挑战」的第15天,点击查看活动详情


📒博客首页:何名取 的个人主页 - 文章 - 掘金 (juejin.cn)
🎉欢迎关注🔎点赞👍收藏⭐️留言📝
❤️期待一起交流!
🙏作者水平很有限,如果发现错误,求告知,多谢!
🌺有问题可私信交流!!!


数据库设计

前言

前面几节已经将PDF阅读功能开发完成,接下来要开发的是题库管理系统。

PDF文档与题库管理系统相关联,选择PDF电子书既是选择了图书,也是选择了对应的题库。比如创建了一本《计算机基础》的图书,点开图书,最左侧是文档导航栏,中间区域是文档阅读区域,右侧即是对应的“计算机基础题库”。

本节对题库管理系统进行分析和设计。

题库功能

  • 根据图书信息创建对应题库
  • 在当前PDF文档页码下向题库中添加多种类型的题目,类型包括:选择题、判断题、填空题和简单题
  • 修改题目
  • 删除题目
  • 查询题目

数据模型

需求分析结果

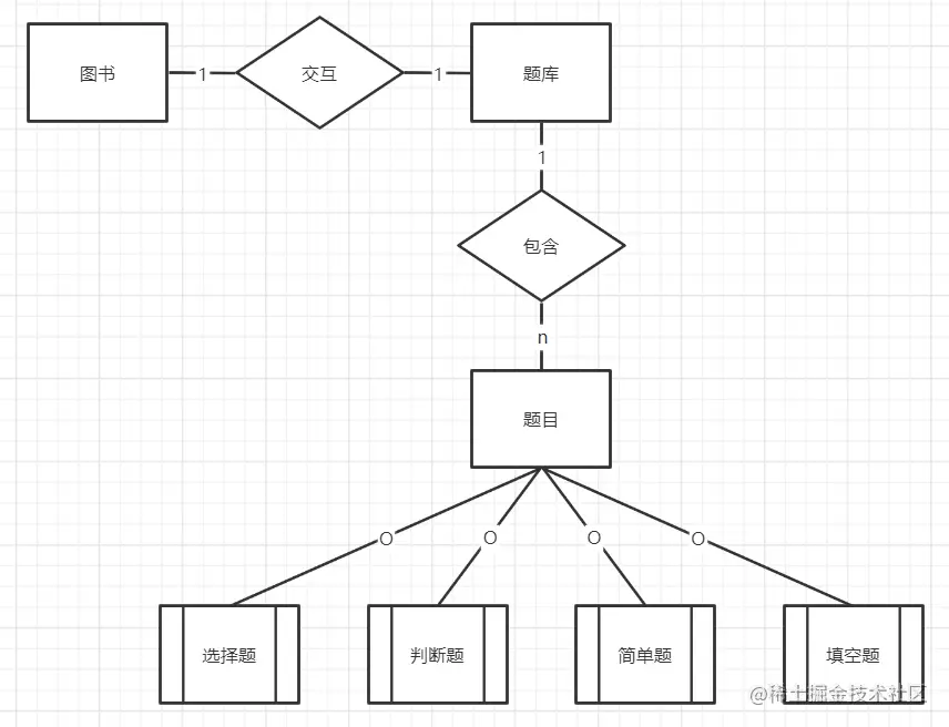
  1. 图书关系需要记录PDF电子书的信息,包括图书号、书名和存放位置。图书号唯一标识PDF电子书信息中的每一个元组,图书号在创建图书时会自动分配,从0001号开始。不同的两本书的书名可能一样,同一本图书也可能有多个存放位置,这里会指定为创建图书时选择的存放位置。一本图书对应一个题库。
  2. 题目关系需要记录的信息包括题号、类型、图书号和页码。题号唯一标识题目信息中的每一个元组,题号在创建题目时会自动分配,从0001号开始。类型包括:选择题、判断题、填空题和简单题。页码是在题目创建时对应PDF电子书当前页面的页码。一个题库可对应多个题目,一个题目只能对应一个题库。

概念模型设计

实体联系图

逻辑结构设计

PDF电子书图书号、图书名、存放位置)

题目题号、类型、图书号、页码)

选择题选择题号、题目号、内容、选项1、选项2、选项3、选项4、答案)

判断题判断题号、题目号、内容、答案)

简答题简答题号、题目号、内容、答案)

填空题填空题号、题目号、内容、答案)