LeetCode - #101 对称二叉树(Top 100)

1,907 阅读1分钟

持续创作,加速成长!这是我参与「掘金日新计划 · 6 月更文挑战」的第16天,点击查看活动详情

前言

本题为 LeetCode 前 100 高频题

我们社区陆续会将顾毅(Netflix 增长黑客,《iOS 面试之道》作者,ACE 职业健身教练。)的 Swift 算法题题解整理为文字版以方便大家学习与阅读。

LeetCode 算法到目前我们已经更新到 100 期,我们会保持更新时间和进度(周一、周三、周五早上 9:00 发布),每期的内容不多,我们希望大家可以在上班路上阅读,长久积累会有很大提升。

不积跬步,无以至千里;不积小流,无以成江海,Swift社区 伴你前行。如果大家有建议和意见欢迎在文末留言,我们会尽力满足大家的需求。

难度水平:简单

1. 描述

给你一个二叉树的根节点 root , 检查它是否轴对称。

2. 示例

示例 1

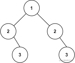
输入:root = [1,2,2,3,4,4,3]
输出:true

示例 2

输入:root = [1,2,2,null,3,null,3]
输出:false

约束条件:

  • 树中节点数目在范围 [1, 1000]
  • -100 <= Node.val <= 100

3. 答案

/**
 * Definition for a binary tree node.
 * public class TreeNode {
 *     public var val: Int
 *     public var left: TreeNode?
 *     public var right: TreeNode?
 *     public init(_ val: Int) {
 *         self.val = val
 *         self.left = nil
 *         self.right = nil
 *     }
 * }
 *
 */
 
class SymmetricTree {
    func isSymmetric(_ root: TreeNode?) -> Bool {
        guard let root = root else {
            return true
        }
        
        return isSymmetricHelper(root.left, root.right)   
    }
    
    private func isSymmetricHelper(_ left: TreeNode?, _ right: TreeNode?) -> Bool {
        if left == nil && right == nil {
            return true
        }
        
        if let left = left, let right = right, left.val == right.val {
            return isSymmetricHelper(left.left, right.right) && isSymmetricHelper(left.right, right.left)
        } else {
            return false
        }
    }
}
  • 主要思想:递归。
  • 时间复杂度: O(n)
  • 空间复杂度: O(n)

该算法题解的仓库:LeetCode-Swift

点击前往 LeetCode 练习

关于我们

我们是由 Swift 爱好者共同维护,我们会分享以 Swift 实战、SwiftUI、Swift 基础为核心的技术内容,也整理收集优秀的学习资料。