高中数学02-常用的乘法公式
常用的乘法公式
这节我们会介绍高中常用的乘法公式
- 平方差公式: a2−b2=(a−b)(a+b)
- 完全平方公式: (a+b)2=a2+2ab+b2
- 和立方公式: a3+3a2b+3ab2+b3 【后面让你算4次方,5次方,我们都可以观想杨辉三角形,A降次,B升次,直到A降完,最后一个成为的B和第一个A同次就可以得到多次方公式了】
- 差立方公式:(a−b)3=a3−3a2b+3ab2−b3 【和和立方公式不一样的是,差立方公式他的符号是交错相减的】
- 立方差公式:a3−b3=(a−b)(a2+ab+b2)
- 立方和公式:a3+b3=(a+b)(a2−ab+b2)
- 三数平方公式: (a+b+c)2=a2+b2+c2+2ab+2ac+2bc
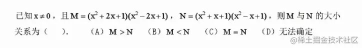
例题

