高中数学01-十字相乘法

347 阅读2分钟

二次函数

十字相乘法

每一项系数必须是整数,ax2+bx+cax^2+bx+c,a展开不能是两个负数相乘,常数项展开可以是负数相乘

这里有一个例子:

x23x+2x^2-3x+2可以推算出(x-1)(x-2) a项为1,可以表示为11,c项为2可以表示为-1-2或者12。要得到b项为-3的结果那么就必须舍弃12 (11)(-1-2)进行十字相加再相乘,我们就可以得到(x-1)(x-2)=>x23x+2x^2-3x+2

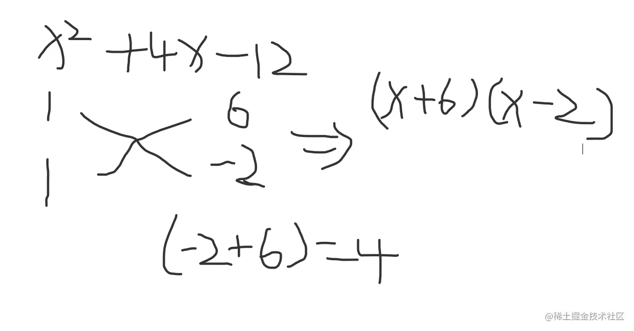
例题

image.png

image.png

image.png

二次函数图像方面信息

y=ax2+bx+c,(a!=0)y=ax^2+bx+c,(a!=0) 依据这个公式,我们可以画出一个在笛卡尔坐标系上的曲线图像

image.png

这个图像有以下一些特点:

  1. 如果a大于0,那么函数图像开口向上,如果a小于0,函数图像开口向下
  2. 一次项b控制的是我们的▲与我们的对称轴
  3. c控制的是我们的图像与y轴的交点。

然后我们可以看到,上面有一个▲的概念,▲的计算公式如下 ▲=b24acb^2-4ac

  • 如果▲大于0,那么函数图像与X轴有两个交点
  • 如果▲等于0,那么函数图像与X轴就只有一个交点
  • 如果▲小于0,那么函数图像与X轴就没有焦点,那么我们的函数也就是无解的,更严谨的说,是y=0的情况 是不存在的。

那么我们该怎么计算这个图像与x轴交点的位置呢?

x1,x2=b±b24ac2ax1,x2=\frac{-b \pm \sqrt {b^2-4ac}}{2a} 更具这个公式,我们就可以计算出函数和坐标轴的x1和x2交点的位置。

现在我们知道了交点的位置了,我们再来研究这个图像与x轴的对称轴的位置。

image.png

获取对称轴的公式为:x=b2ax=-\frac{b}{2a}

韦达定理

ax2+bx+c,(a!=0)ax^2+bx+c,(a!=0)的情况下,有以下两个定理

  • x1+x2=abx1+x2=-\frac{a}{b}
  • x1x2=cax1x2=\frac{c}{a}