【每日一题】力扣111.二叉树的最小深度

118 阅读2分钟

持续创作,加速成长!这是我参与「掘金日新计划 · 6 月更文挑战」的第15天,点击查看活动详情

题目

题目链接:力扣111:二叉树的最小深度

给定一个二叉树,找出其最小深度。

最小深度是从根节点到最近叶子节点的最短路径上的节点数量。

说明:叶子节点是指没有子节点的节点。

示例 1:

img

输入:root = [3,9,20,null,null,15,7] 输出:2

示例 2:

输入:root = [2,null,3,null,4,null,5,null,6] 输出:5

提示:

  • -树中节点数的范围在 [0, 10^5] 内
  • --1000 <= Node.val <= 1000

解题思路

👉迭代法

这题我最先想到的思路是昨天的层次遍历。

可以用队列对二叉树进行层次遍历,每次遍历都是用当前层次的节点,将下一层的节点放入队列中,每次放入前都要考虑该节点是否存在左右孩子,存在就放入队列,不存在则不放。可以在这里加一个判断条件,当该节点没有孩子时,就是叶子节点,即找到了最小深度。

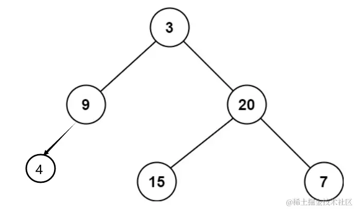
img-力扣111-1.png

如图,当层次遍历到第二层时,会找到9这个节点是叶子节点,此时可以直接返回,该层次数即是最小深度。

👉递归法

还有一种思路是递归法。

求最大深度时,我用的是这种方法,所以我想到了这两题是雷同的。递归法和二叉树的后序遍历相似,每递归一次就要加一,因为和层次遍历一样,每递归一次就是进入下一层。当递归结束后比较左右子树的深度,取值小的那个。

这里有个要注意的是如果节点只有一个孩子时,要取有孩子的那边的值。

img-力扣111-2.png

如图,如果此时节点9需要取左孩子的深度值。


代码(C++)

迭代

class Solution {
public:
    int minDepth(TreeNode* root) {
        queue<TreeNode *> queue;
        queue.push(root);
        int f = 0;
        if (!root)
            return 0;
        while (!queue.empty()) {
            TreeNode *t;
            int i = queue.size();
            f ++;			//记录层次
            for (int j = 0; j < i ; ++ j) {
                t = queue.front();
                queue.pop();
                if (!t->left && !t->right) {	//遇到第一个叶子节点
                    return f;
                }
                if (t->left) {
                    queue.push(t->left);
                }
                if (t->right) {
                    queue.push(t->right);
                }

            }
        }
        return f;
    }
};

递归

class Solution {
public:
    int minDepth(TreeNode* root) {
        if (!root)
            return 0;
        int l = 0, r = 0;
        l += minDepth(root->left);
        r += minDepth(root->right);
        if (l && !r)		//节点的右孩子为空,取左孩子的值
            return l + 1;
        else if (!l && r)	//左孩子为空,取右孩子的值
            return r + 1;
        if (l > r)
            return r + 1;
        else
            return l + 1;
    }
};

拓展(求最大深度)

int Treedepth(BT *T)
{
    int ldep,rdep;
    if(T==NULL)
        return 0;
    else
    {
        ldep=Treedepth(T->lchild);
        rdep=Treedepth(T->rchild);
        if(ldep>rdep)
            return ldep+1;
        else
            return rdep+1;
    }
}

总结

这题的递归法,主要是存在一个孩子为空的情况不好想到。其他的不算太难想到。

这题和求最大深度的问题几乎一样,可以多了解了解。