二叉树力扣刷题(8)450. 删除二叉搜索树中的节点

84 阅读2分钟

持续创作,加速成长!这是我参与「掘金日新计划 · 6 月更文挑战」的第12天,点击查看活动详情

450. 删除二叉搜索树中的节点

难度中等868

给定一个二叉搜索树的根节点 root 和一个值 key,删除二叉搜索树中的 key 对应的节点,并保证二叉搜索树的性质不变。返回二叉搜索树(有可能被更新)的根节点的引用。

一般来说,删除节点可分为两个步骤:

  1. 首先找到需要删除的节点;
  2. 如果找到了,删除它。

 

示例 1:

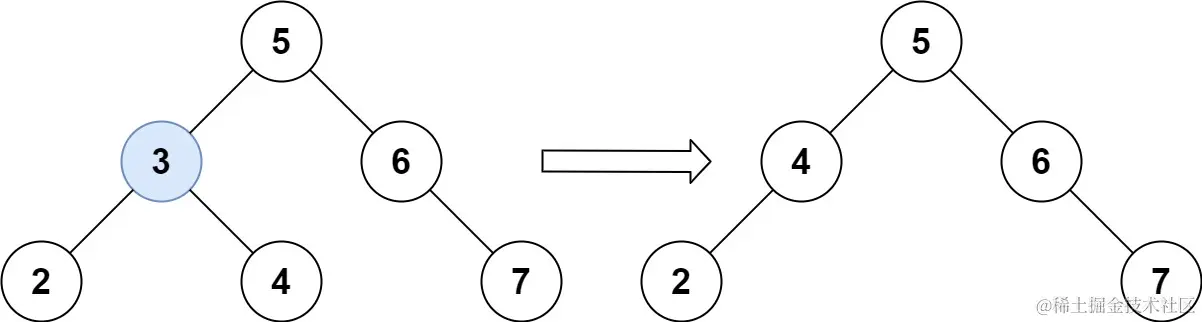
输入: root = [5,3,6,2,4,null,7], key = 3
输出: [5,4,6,2,null,null,7]
解释: 给定需要删除的节点值是 3,所以我们首先找到 3 这个节点,然后删除它。
一个正确的答案是 [5,4,6,2,null,null,7], 如下图所示。
另一个正确答案是 [5,2,6,null,4,null,7]。

示例 2:

输入: root = [5,3,6,2,4,null,7], key = 0
输出: [5,3,6,2,4,null,7]
解释: 二叉树不包含值为 0 的节点

示例 3:

输入: root = [], key = 0
输出: []

 

提示:

  • 节点数的范围 [0, 104].
  • -105 <= Node.val <= 105
  • 节点值唯一
  • root 是合法的二叉搜索树
  • -105 <= key <= 105

进阶:  要求算法时间复杂度为 O(h),h 为树的高度。

思路:

1.如果删除的节点左为空,右不为空则用右替代,反之用左替代 2.如果删除的节点左右都不为空,则先找右那个为空的

代码:

class Solution {
public:
    TreeNode* deleteNode(TreeNode* root, int key) {
        if (root == nullptr) return nullptr;
        if (root->val == key) {
            if (root->left == nullptr) return root->right;   //右不为空
            else if (root->right == nullptr) return root->left; //左不为空
            else {                                            //都不为空
                TreeNode * m = root->right;
                while (m->left) {                             //递归到那个为空值的
                    m = m->left;
                }
                m->left = root->left;                         //然后直接用其替代
                TreeNode*tmp = root;                       
                root = root->right;
                delete tmp;                                   //内存的一个释放
                return root;
            }
        }
        if (root->val > key)root->left = deleteNode(root->left , key);   //正常递归
        if (root->val < key)root->right = deleteNode(root->right , key);
        return root;
    }
};