22. 环形链表II 【LC142】

112 阅读1分钟

题目:

给定一个链表的头节点  head ,返回链表开始入环的第一个节点。 如果链表无环,则返回 null。

如果链表中有某个节点,可以通过连续跟踪 next 指针再次到达,则链表中存在环。 为了表示给定链表中的环,评测系统内部使用整数 pos 来表示链表尾连接到链表中的位置(索引从 0 开始)。如果 pos 是 -1,则在该链表中没有环。注意:pos 不作为参数进行传递,仅仅是为了标识链表的实际情况。

不允许修改 链表。

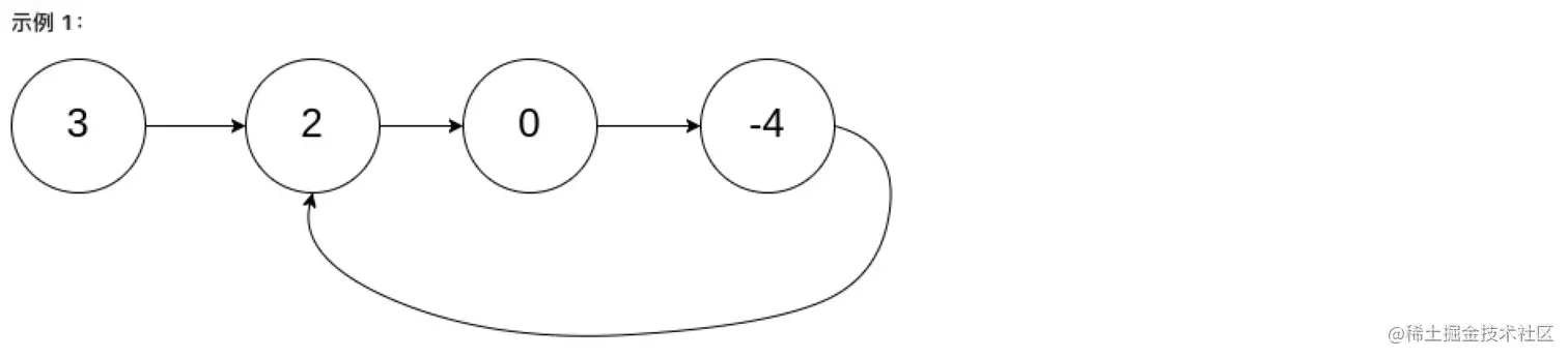
image.png

输入: head = [3,2,0,-4], pos = 1
输出: 返回索引为 1 的链表节点
解释: 链表中有一个环,其尾部连接到第二个节点。

image.png

输入: head = [1,2], pos = 0
输出: 返回索引为 0 的链表节点
解释: 链表中有一个环,其尾部连接到第一个节点。

image.png

输入: head = [1], pos = -1
输出: 返回 null
解释: 链表中没有环。

核心思路:

空间换时间,利用js Map的特性处理,实现On。

一定要注意边界条件,比如,当链表不是环的情况下怎么处理,怎么返回。

解:

var detectCycle = function (head) {
  const map = new Map();
  let idx = 0;
  while (head && !map.has(head)) {
    map.set(head, head.val);
    idx++;
    head = head.next;
  }
  if (!head) {
    return null
  }
  return head;
};

———— 前端、Javascript实现、算法、刷题、leetcode