Dynamic Multi-population particle swarm optimization algorithm based on Kmeans

153 阅读2分钟

持续创作,加速成长!这是我参与「掘金日新计划 · 6 月更文挑战」的第6天,点击查看活动详情

Abstract

The first thing which i want to say is that i don't like use englist in my blog,but for my English cet 4 and my Academic career i need do it.Today this paper just for put forward my idea and i haven't argued it yet.

at the begin of this paper you need to read this blog

on this page we will put three points.

The first is: We will use Multi-population strategy in particle swarm optimization algorithm.

The second is: We will use Kmeans algorithm to select cluster center points.

The thrid is: Based on the above improvements.We propose a multi-population particle swarm optimization algorithm based on Kmeans algorithm(KM-DMOPSO).

Introduction

Particle swarm optimization (PSO), which was first proposed in 1995 by Kennedy and Eberhart, is one of the most famous swarm-based optimization algorithms.Due to its simplicity and high performance, a multitude of enhancements have been presentedon PSO during the last few decades, which can be simply categorized into three types: parameterselection, topology, and hybridization with other algorithms.

In order to solve the contradiction between population diversity and convergence in particle swarm optimization, a dynamic multi-population particle swarm optimization algorithm with recombination learning and mixed mutation was proposed and this base Kmeans algorithm.

K-means clustering algorithm is an iterative clustering analysis algorithm. The procedure of k-means clustering algorithm is that the data is divided into K groups, and K objects are randomly selected as the initial clustering centers. Then calculate the distance between each object and each seed cluster center, and assign each object to the cluster center closest to it. . Cluster centers and the objects assigned to them represent a cluster. . Each time a sample is allocated, the cluster center of the cluster is recalculated according to the existing objects in the cluster. . This process is repeated until some termination condition is met. . Termination conditions can be that no (or minimum number) objects are reassigned to different clusters, no (or minimum number) clustering center changes again, error square and local minimum. So this algorithm can help us to dynamic divide cluster of Multi-population Instead of fixing multiple self-populations.

Relate Wrok

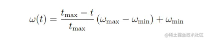
Linear strategies

Initially, all parameters in the particle swarm algorithm were set to a fixed value , but researchers found that this method was not efficient, and it was difficult to balance the relationship between exploration and discovery. Therefore, linear strategy is proposed. Linear strategy means that some algorithms pre-specify a linear expression during the running process, and determine some current running parameters according to some running states.

在这里插入图片描述

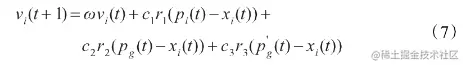
Parameters C and R

Beaces we have multi-popluation,so we add parameters c and r as c3,r3 on the basis of the original PSO algorithm.

在这里插入图片描述

Kmeans

we will use Kmeans fo divide cluster so that we can dynamic to divide popluation.

yet we call also optimization of Kmeans algorithm in KMDMOPSO algorithm.

For example, the Kmeans optimization algorithm based on GAN neural network strategy is my guess

Expect

We're hoping for a really cool effect.

frigging awesome

**As you can probably tell, I'm bein