二叉树力扣刷题(7)701. 二叉搜索树中的插入操作

61 阅读2分钟

持续创作,加速成长!这是我参与「掘金日新计划 · 6 月更文挑战」的第11天,点击查看活动详情

701. 二叉搜索树中的插入操作

难度中等320

给定二叉搜索树(BST)的根节点 root 和要插入树中的值 value ,将值插入二叉搜索树。 返回插入后二叉搜索树的根节点。 输入数据 保证 ,新值和原始二叉搜索树中的任意节点值都不同。

注意,可能存在多种有效的插入方式,只要树在插入后仍保持为二叉搜索树即可。 你可以返回 任意有效的结果 。

 

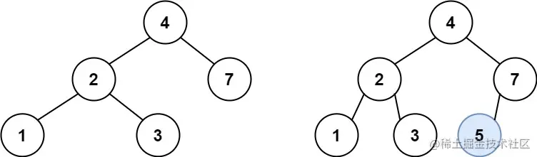
示例 1:

输入: root = [4,2,7,1,3], val = 5
输出: [4,2,7,1,3,5]
解释: 另一个满足题目要求可以通过的树是:

示例 2:

输入: root = [40,20,60,10,30,50,70], val = 25
输出: [40,20,60,10,30,50,70,null,null,25]

示例 3:

输入: root = [4,2,7,1,3,null,null,null,null,null,null], val = 5
输出: [4,2,7,1,3,5]

 

提示:

  • 树中的节点数将在 [0, 104]的范围内。
  • -108 <= Node.val <= 108
  • 所有值 Node.val 是 独一无二 的。
  • -108 <= val <= 108
  • 保证 val 在原始BST中不存在。

思路:

遍历二叉搜索树,只要放对val所在的位置即可,找到那个空位置,记得要返回return;

空位置

if (cur == nullptr) { TreeNode* m = new TreeNode(val);

        if (s->val > val) s->left = m;

        else s->right = m;

        return;
    }

代码:

class Solution {
public:
    TreeNode*s = new TreeNode(0);                   //s标志为前一个值,这里初始化为0,必须有值
    void reversal(TreeNode*cur, int val) {          //这里使用void是为了方便
        if (cur == nullptr) {                      //找到这个空位置
            TreeNode* m = new TreeNode(val);
            if (s->val > val) s->left = m;
            else s->right = m;
            return;
        }
        s = cur;
        if (cur->val > val) reversal(cur->left, val);
        if (cur->val < val) reversal(cur->right, val);
        return;
    }
    TreeNode* insertIntoBST(TreeNode* root, int val) {
        if (root == nullptr) {                      //空的时候直接返回root
            root = new TreeNode(val);
            
        }reversal(root, val);
            return root;
    }
};