Python条件生存森林模型Conditional Survival Forest 预测客户流失交叉验证

210 阅读6分钟

​持续创作,加速成长!这是我参与「掘金日新计划 · 6 月更文挑战」的第6天,点击查看活动详情\

原文链接:tecdat.cn/?p=26982

原文出处:拓端数据部落公众号

简介

客户流失/流失,是企业最重要的指标之一,因为获取新客户的成本通常高于保留现有客户的成本。

事实上,根据一个 study by Bain & Company,随着时间的推移,现有客户倾向于从公司购买更多产品,从而降低企业的运营成本,并可能将他们使用的产品推荐给其他人。例如,在金融服务领域,客户保留率每增加 5%,利润就会增加 25% 以上。

通过使用生存分析,公司不仅可以预测客户是否可能停止开展业务,还可以预测该事件何时发生。

数据集

描述和概述

团队想要使用的数据集包含以下功能:

从分类到数值

有几个分类特征需要编码为 one-hot 向量:

# 创建向量dtset = pd.get_dummies(rawdaset, columns=caegres)# 创建时间和事件列timeolun = 'onth_tiveent_clmn = 'chuned' (事件列)。# 提取特征特征 = np.setdiff1d(daaet.oums, [tie_olmn,] ).tolist()

探索性数据分析

在这里,我们将只检查数据集是否包含 Null 值或是否有重复的行。然后,我们将看看特征相关性。

空值和重复

首先要做的是检查 raw_dataset 是否包含 Null 值和重复的行。

# 检查是否为空值Null = sum(dtaet[feaues].isnull().sum())# 如果存在重复的数据,则将其删除daast = datt.drop_duplicates(keep='first').reset_index(drop=True)# 数据集中的样本数N = det.shape[0]

事实证明,数据集没有任何 Null 值或重复项。

相关性

让我们计算和可视化特征之间的相关性

图 1 - 相关性

建模

构建模型

为了稍后执行交叉验证并评估模型的性能,让我们将数据集拆分为训练集和测试集。

# 建立训练和测试集dex_train, index_test = train_test_split( range(N), test_size = 0.35)# 创建X、T和E输入X_tain, Xtst = daa_ain[ftures], datts[fees]T_tin, T_tst = daa_rain[ie_olumn], dta_est[tme_olumn]E_tain, _tst = daa_tain[vent_cumn], dattet[evet_lumn]

注意:超参数的选择是使用网格搜索选择获得的。

# 拟合模型cf.fit(_trai, T_tra, _tain, ax_eatrs='sqrt',

变量重要性

建立生存森林模型后,我们可以计算特征重要性:

# 计算变量的重要性sf.vaialeipotanetle.head(5)

这是最重要的功能中的前 5 个。

由于功能的重要性,我们可以更好地了解是什么推动了保留或流失。在这里,会计和薪资管理产品、满意度调查得分以及与客户支持通话的时间都发挥着重要作用。

注意:重要性是扰动和未扰动错误率之间的预测误差差异

交叉验证

为了评估模型性能,我们之前将原始数据集拆分为训练集和测试集,以便我们现在可以在测试集上计算其性能指标:

C-index

这C-index代表模型辨别能力的全局评估:

这是模型根据个体风险评分正确提供生存时间可靠排名的能力

。一般来说,当 C-index 接近 1 时,模型具有近乎完美的判别力;但如果接近0.5,则没有区分低风险和高风险对象的能力。

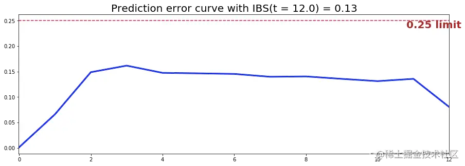
Brier score

这Brier score

测量给定时间状态和估计概率之间的平均差异。

因此,分数越低(

通常低于 0.25

),预测性能就越好。为了评估跨多个时间点的整体误差测量,通常还计算综合 Brier 分数 (IBS)。

图 2 - 条件生存森林 - Brier 分数和预测误差曲线

IBS 在整个模型时间轴上等于 0.13。这表明该模型将具有良好的预测能力。

预测

总体预测

既然我们已经建立了一个似乎可以提供出色性能的模型,让我们比较每个时间 t 停止与 SaaS 公司开展业务的实际客户数量和预测客户数量的时间序列。

comroal(cf, X_tst, T_tst, E_tst

图 3 - 条件生存森林 - 流失的客户数量

该模型总体上提供了非常好的结果,因为在整个 12 个月的窗口中,它只会产生约 5 个客户的平均绝对误差。

个人预测

让我们计算在 所有时间 t 中保留客户的概率

首先,我们可以根据风险评分分布构建风险组。

cree_rskups(oel=csf, X=X_test

图 4 - 条件生存森林 - 风险组

在这里,可以区分 3 个主要群体,

风险、

风险 和

风险群体。由于 C 指数较高,模型将能够对每组随机单元的生存时间进行适当的排序。

让我们随机选择每组中的单个单元,并比较它们在所有时间 t 中保留客户的概率。为了证明我们的观点,我们将特意选择经历过事件的单位来可视化事件的实际时间。

图 5 - 条件生存森林 - 预测个人保留客户的概率

在这里,我们可以看到该模型设法提供了对事件时间的出色预测。

结论

我们现在可以保存我们的模型,以便将其投入生产并为未来的客户评分。

总之,我们可以看到,可以预测客户在不同时间点停止与公司开展业务的时间。该模型将帮助公司在留住客户方面更加积极主动;并更好地了解导致客户流失的原因。

最受欢迎的见解

1.PYTHON用户流失数据挖掘:建立逻辑回归、XGBOOST、随机森林、决策树、支持向量机、朴素贝叶斯模型和KMEANS聚类用户画像

2.R语言基于树的方法:决策树,随机森林

3.python中使用scikit-learn和pandas决策树

4.机器学习:在SAS中运行随机森林数据分析报告

5.R语言用随机森林和文本挖掘提高航空公司客户满意度

6.机器学习助推快时尚精准销售时间序列

7.用机器学习识别不断变化的股市状况——隐马尔可夫模型的应用

8.python机器学习:推荐系统实现(以矩阵分解来协同过滤)

9.python中用pytorch机器学习分类预测银行客户流失