【链表】1. 判断单链表是否有环

131 阅读2分钟

假设一个链表是环形链表,在遍历的时候一定是死循环的,那么我们只需要想办法判断链表是否遍历过了就可以。

1. 题目

给你一个链表的头节点 head ,判断链表中是否有环。

如果链表中有某个节点,可以通过连续跟踪 next 指针再次到达,则链表中存在环。 为了表示给定链表中的环,评测系统内部使用整数 pos 来表示链表尾连接到链表中的位置(索引从 0 开始)。注意:pos 不作为参数进行传递 。仅仅是为了标识链表的实际情况。

如果链表中存在环 ,则返回 true 。 否则,返回 false 。

 

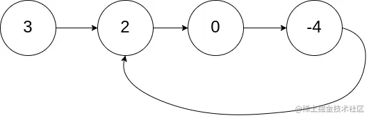
示例 1:

输入:head = [3,2,0,-4], pos = 1

输出:true

解释:链表中有一个环,其尾部连接到第二个节点。

来源:力扣(LeetCode)

链接:leetcode-cn.com/problems/li…

2. 解题方法

2.1 标记法

给链表添加 flag属性标识是否遍历过了

/**
 * Definition for singly-linked list.
 * function ListNode(val) {
 *     this.val = val;
 *     this.next = null;
 * }
 */

/**
 * @param {ListNode} head
 * @return {boolean}
 */
var hasCycle = function(head) {
  if (!(head && head.next)) return false;
  
  while (head) {
    if (head.flag) return true;
    
    head.flag = true;
    head = head.next;
  }

  return false;
};

时间复杂度:O(N)

空间复杂度:O(1)

2.2 哈希表法

利用 es6Map属性来存储属性,利用 node当成 key来存储,判断是否有相同的 key,有则已经遍历过了

var hasCycle = function(head) {
  if (!(head && head.next)) return false;
  const map = new Map();

  while (head) {
    if (map.has(head)) return true;
  
    map.set(head, 1);  
    head = head.next;
  }

  return false;
};

时间复杂度:O(N)

空间复杂度:O(N)

2.3 快慢指针

解题思路就是初始化两个指针,一个指针指向 next,一个指针指向 next.next。好比人在操场跑步,当两人不停的跑、并且一个人比另一个人跑的快的时候,两个人总会在某个时间相遇。

var hasCycle = function(head) {
  if (!(head && head.next)) return false;
  let slow = head, fast = head.next;
  
  while (slow !== fast) {
    if (fast === null || fast.next === null) return false;

    slow = slow.next;
    fast = fast.next.next;
  }
  
  return true;
};

时间复杂度:O(N)

空间复杂度:O(1)