「LeetCode」701-二叉搜索树中的插入操作⚡️

123 阅读3分钟

持续创作,加速成长!这是我参与「掘金日新计划 · 6 月更文挑战」的第12天,点击查看活动详情

大家好,我是速冻鱼🐟,一条水系前端💦,喜欢花里胡哨💐,持续沙雕🌲,是隔壁寒草🌿的好兄弟,刚开始写文章。 如果喜欢我的文章,可以关注➕点赞,为我注入能量,与我一同成长吧~

前言🌧️

算法,对前端人来说陌生又熟悉,很多时候我们都不会像后端工程师一样重视这项能力。但事实上,算法对每一个程序员来说,都有着不可撼动的地位。

因为开发的过程就是把实际问题转换成计算机可识别的指令,也就是《数据结构》里说的,「设计出数据结构,在施加以算法就行了」。

编写指令的好坏,会直接影响到程序的性能优劣,而指令又由数据结构和算法组成,所以数据结构和算法的设计基本上决定了最终程序的好坏

题目🦀

701. 二叉搜索树中的插入操作

难度中等

给定二叉搜索树(BST)的根节点 root 和要插入树中的值 value ,将值插入二叉搜索树。 返回插入后二叉搜索树的根节点。 输入数据 保证 ,新值和原始二叉搜索树中的任意节点值都不同。

注意,可能存在多种有效的插入方式,只要树在插入后仍保持为二叉搜索树即可。 你可以返回 任意有效的结果

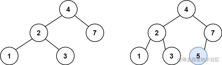
示例 1:

img

输入:root = [4,2,7,1,3], val = 5
输出:[4,2,7,1,3,5]
解释:另一个满足题目要求可以通过的树是:

示例 2:

输入:root = [40,20,60,10,30,50,70], val = 25
输出:[40,20,60,10,30,50,70,null,null,25]

示例 3:

输入:root = [4,2,7,1,3,null,null,null,null,null,null], val = 5
输出:[4,2,7,1,3,5]

提示:

  • 树中的节点数将在 [0, 104]的范围内。
  • -108 <= Node.val <= 108
  • 所有值 Node.val独一无二 的。
  • -108 <= val <= 108
  • 保证 val 在原始BST中不存在。

解题思路🌵

  • 可以利用二叉搜索树的特点
  • 递归寻找需要插入的结点
  • 递归三部曲,确定入参,终止条件

解题步骤🐂

  • 如果当前节点大于等于要插入的节点,则插入左子树
  • 如果当前节点小于等于要插入的节点,则插入右子树
  • 如果递归到了点为空,创建新节点插入

源码🔥

const insertIntoBST = (root, val) => {
    // 若节点为空,创建新节点插入
    if (!root) return new TreeNode(val);
    if (root.val > val) {
        // 当前节点大于等于要插入的节点,则插入左子树
        root.left = insertIntoBST(root.left, val);
    } else {
        // 当前节点小于要插入的节点,则插入右子树
        root.right = insertIntoBST(root.right, val);
    }
    // 返回已操作完成的根节点
    return root;
};

时间复杂度:O(n)

空间复杂度:O(1)

结束语🌞

那么鱼鱼的LeetCode算法篇的「LeetCode」701-二叉搜索树中的插入操作⚡️就结束了,算法这个东西没有捷径,只能多写多练,多总结,文章的目的其实很简单,就是督促自己去完成算法练习并总结和输出,菜不菜不重要,但是热爱🔥,喜欢大家能够喜欢我的短文,也希望通过文章认识更多志同道合的朋友,如果你也喜欢折腾,欢迎加我好友,一起沙雕,一起进步

github🤖:sudongyu

个人博客👨‍💻:速冻鱼blog

vx👦:sudongyuer

写在最后

伙伴们,如果喜欢我的口水话给🐟🐟点一个赞👍或者关注➕都是对我最大的支持。