信息论与编码2 期末复习-循环码

364 阅读1分钟

本文已参与「新人创作礼」活动,一起开启掘金创作之路。

循环码

定义

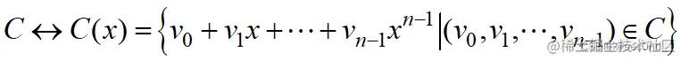
设一个(n, k)线性分组码C,如果它的任一码字的每一次循环移位都还是C的一个码字,则称C是循环码。 在这里插入图片描述 例如: 在这里插入图片描述

特点

  • 循环码是线性码
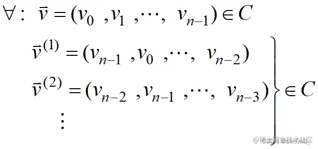
  • 具有循环特性 在这里插入图片描述 在这里插入图片描述在这里插入图片描述 总结:如果将一个循环码的某一非零码字用码多项式表示出来,那么其他的非零码字多项式就可以用这个码字多项式(或码字多项式的和)乘上x的一个幂,再求(x^n^-1) 的余得到

编码

循环码的生成多项式

若g(x)是一个(n-k)次多项式,且是(x^n^-1)的因式,则由g(x)可以生成一个(n,k)循环码,g(x)称为该循环码的生成多项式。

(n,k)循环码的构造

(1)对(x n - 1)做因式分解,找出(n – k)次因式; (2)以该(n – k)次因式为生成多项式g(x)与不高于k – 1次信息多项式u(x)相乘,即得到对应消息序列的码多项式。

例: 在这里插入图片描述 在这里插入图片描述

生成矩阵

当循环码的生成多项式g(x)给定后,可以取g(x)本身加上移位k – 1次所得到的k – 1码字作为k个基底,即: g(x),xg(x),...,x^k1^g(x)构成基底 在这里插入图片描述 在这里插入图片描述 例题:在这里插入图片描述

校验矩阵

==x^n^-1 = g(x)·h(x)==

由g (x)生成的码为C,在由h (x)生成的码就是C的对偶码C^⊥^.

例题

在这里插入图片描述

构造

校验