【LeetCode】105. 从前序与中序遍历序列构造二叉树

170 阅读1分钟

持续创作,加速成长!这是我参与「掘金日新计划 · 6 月更文挑战」的第8天,点击查看活动详情

题目

给定两个整数数组 preorder 和 inorder ,其中 preorder 是二叉树的先序遍历, inorder 是同一棵树的中序遍历,请构造二叉树并返回其根节点。

示例 1

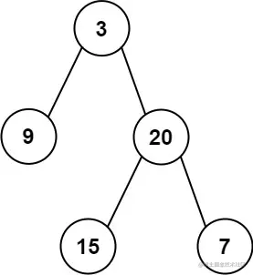
输入: preorder = [3,9,20,15,7], inorder = [9,3,15,20,7]
输出: [3,9,20,null,null,15,7]

示例 2

输入: preorder = [-1], inorder = [-1]
输出: [-1]

提示

  • 1 <= preorder.length <= 3000
  • inorder.length == preorder.length
  • -3000 <= preorder[i], inorder[i] <= 3000
  • preorder 和 inorder 均 无重复 元素
  • inorder 均出现在 preorder
  • preorder 保证 为二叉树的前序遍历序列
  • inorder 保证 为二叉树的中序遍历序列

题解

思路

二叉树前序遍历的顺序为:根左右

二叉树中序遍历的顺序为:左根右

递归建立整棵二叉树:先创建根节点,然后递归创建左右子树,并让指针指向两棵子树。

具体步骤如下:

  • 1 先利用前序遍历找根节点:前序遍历的第一个数,就是根节点的值;
  • 2 在中序遍历中找到根节点的位置 pos,则 pos 左边是左子树的中序遍历,右边是右子树的中序遍历;
  • 3 假设左子树的中序遍历的长度是 k,则在前序遍历中,根节点后面的 k 个数,是左子树的前序遍历,剩下的数是右子树的前序遍历;
  • 4 有了左右子树的前序遍历和中序遍历,我们可以先递归创建出根节点,然后再递归创建左右子树,再将这两颗子树接到根节点的左右位置;

Q1:如何在中序遍历中对根节点快速定位?

  • 一种简单的方法是直接扫描整个中序遍历的结果并找出根节点,但这样做的时间复杂度较高。我们可以考虑使用哈希表来帮助我们快速地定位根节点。对于哈希映射中的每个键值对,键表示一个元素(节点的值),值表示其在中序遍历中的出现位置。

Q2: 如何确定左右子树的前序遍历和中序遍历范围?

  • 根据哈希表找到中序遍历的根节点位置,我们记作 pos
  • pos-il (il 为中序遍历左端点) 得到中序遍历的长度 k ,由于一棵树的前序遍历和中序遍历的长度相等,因此前序遍历的长度也为 k。有了前序和中序遍历的长度,根据如上具体步骤 2 和 3,我们就能很快确定左右子树的前序遍历和中序遍历范围。

代码

/**
 * Definition for a binary tree node.
 * struct TreeNode {
 *     int val;
 *     TreeNode *left;
 *     TreeNode *right;
 *     TreeNode() : val(0), left(nullptr), right(nullptr) {}
 *     TreeNode(int x) : val(x), left(nullptr), right(nullptr) {}
 *     TreeNode(int x, TreeNode *left, TreeNode *right) : val(x), left(left), right(right) {}
 * };
 */
class Solution {
public:
    unordered_map<int,int> pos;
    TreeNode* buildTree(vector<int>& preorder, vector<int>& inorder) {
        int n = preorder.size();
        for(int i = 0; i < n; i++)
            pos[inorder[i]] = i;
        return dfs(preorder,inorder,0,n-1,0,n-1);        
    }
    TreeNode* dfs(vector<int>&pre,vector<int>&in,int pl,int pr,int il,int ir)
    {
        if(pl > pr || il > ir)  return NULL; //子树为空
        int k = pos[pre[pl]] - il; // pos[pre[pl]]是中序遍历中根节点位置,k是子树前序和中序遍历的长度
        TreeNode* root = new TreeNode(pre[pl]);
        root->left = dfs(pre,in,pl+1,pl+k,il,il+k-1);  //左子树前序遍历,左子树中序遍历
        root->right = dfs(pre,in,pl+k+1,pr,il+k+1,ir); //右子树前序遍历,右子树中序遍历
        return root;
    }
};

结语

业精于勤,荒于嬉;行成于思,毁于随。