☆打卡算法☆LeetCode 145. 二叉树的后序遍历 算法解析

123 阅读2分钟

持续创作,加速成长!这是我参与「掘金日新计划 · 6 月更文挑战」的第11天,点击查看活动详情

推荐阅读

大家好,我是小魔龙,Unity3D软件工程师,VR、AR,虚拟仿真方向,不定时更新软件开发技巧,生活感悟,觉得有用记得一键三连哦。

一、题目

1、算法题目

“给定二叉树的根节点,完成后序遍历。”

题目链接:

来源:力扣(LeetCode)

链接: 145. 二叉树的后序遍历 - 力扣(LeetCode)

2、题目描述

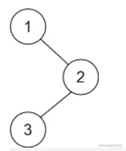
给你一棵二叉树的根节点 root ,返回其节点值的 后序遍历

image.png

示例 1:
输入: root = [1,null,2,3]
输出: [3,2,1]
示例 2:
输入: root = [1]
输出: [1]

二、解题

1、思路分析

二叉树的后序遍历也讲过很多遍了。

也就是按照左子树→右子树→根节点的方式遍历这棵树。

在访问整个树的时候,也是同样的方式遍历,知道遍历整个树。

遍历过程具有递归性质,可以使用递归函数来模拟这一过程。

2、代码实现

代码参考:

class Solution {
    public List<Integer> postorderTraversal(TreeNode root) {
        List<Integer> res = new ArrayList<Integer>();
        postorder(root, res);
        return res;
    }

    public void postorder(TreeNode root, List<Integer> res) {
        if (root == null) {
            return;
        }
        postorder(root.left, res);
        postorder(root.right, res);
        res.add(root.val);
    }
}

image.png

3、时间复杂度

时间复杂度:O(n)

其中n是二叉树的节点数,每个节点会被访问一次。

空间复杂度:O(n)

其中n是二叉树的节点数,主要是递归过程在栈上的开销。

三、总结

首先实现一个递归函数来遍历整个树。

在递归调用的时候,先将左子树传入,遍历左子树,然后将右子树传入,遍历右子树。

最后将root节点的值加入答案即可。

遍历终止条件为碰到空节点