Flink 状态编程和容错机制 三

165 阅读5分钟

持续创作,加速成长!这是我参与「掘金日新计划 · 6 月更文挑战」的第10天,点击查看活动详情

目录

3 检查点(checkpoint)

3.1  Flink的检查点算法

 3.2  Flink+Kafka如何实现端到端的exactly-once语义


3 检查点(checkpoint)

Flink具体如何保证exactly-once呢? 它使用一种被称为"检查点"(checkpoint)的特性,在出现故障时将系统重置回正确状态。下面通过简单的类比来解释检查点的作用。

假设你和两位朋友正在数项链上有多少颗珠子,如下图所示。你捏住珠子,边数边拨,每拨过一颗珠子就给总数加一。你的朋友也这样数他们手中的珠子。当你分神忘记数到哪里时,怎么办呢? 如果项链上有很多珠子,你显然不想从头再数一遍,尤其是当三人的速度不一样却又试图合作的时候,更是如此(比如想记录前一分钟三人一共数了多少颗珠子,回想一下一分钟滚动窗口)。

于是,你想了一个更好的办法: 在项链上每隔一段就松松地系上一根有色皮筋,将珠子分隔开; 当珠子被拨动的时候,皮筋也可以被拨动; 然后,你安排一个助手,让他在你和朋友拨到皮筋时记录总数。用这种方法,当有人数错时,就不必从头开始数。相反,你向其他人发出错误警示,然后你们都从上一根皮筋处开始重数,助手则会告诉每个人重数时的起始数值,例如在粉色皮筋处的数值是多少。

Flink检查点的作用就类似于皮筋标记。数珠子这个类比的关键点是: 对于指定的皮筋而言,珠子的相对位置是确定的; 这让皮筋成为重新计数的参考点。总状态(珠子的总数)在每颗珠子被拨动之后更新一次,助手则会保存与每根皮筋对应的检查点状态,如当遇到粉色皮筋时一共数了多少珠子,当遇到橙色皮筋时又是多少。当问题出现时,这种方法使得重新计数变得简单。 

3.1  Flink的检查点算法

Flink检查点的核心作用是确保状态正确,即使遇到程序中断,也要正确。记住这一基本点之后,我们用一个例子来看检查点是如何运行的。Flink为用户提供了用来定义状态的工具。例如,以下这个Scala程序按照输入记录的第一个字段(一个字符串)进行分组并维护第二个字段的计数状态。

val stream: DataStream[(String, Int)] = ... 
val counts: DataStream[(String, Int)] = stream
.keyBy(record => record._1)
.mapWithState(  (in: (String, Int), state: Option[Int])  => 
state match { 
case Some(c) => ( (in._1, c + in._2), Some(c + in._2) ) 
case None => ( (in._1, in._2), Some(in._2) )
})

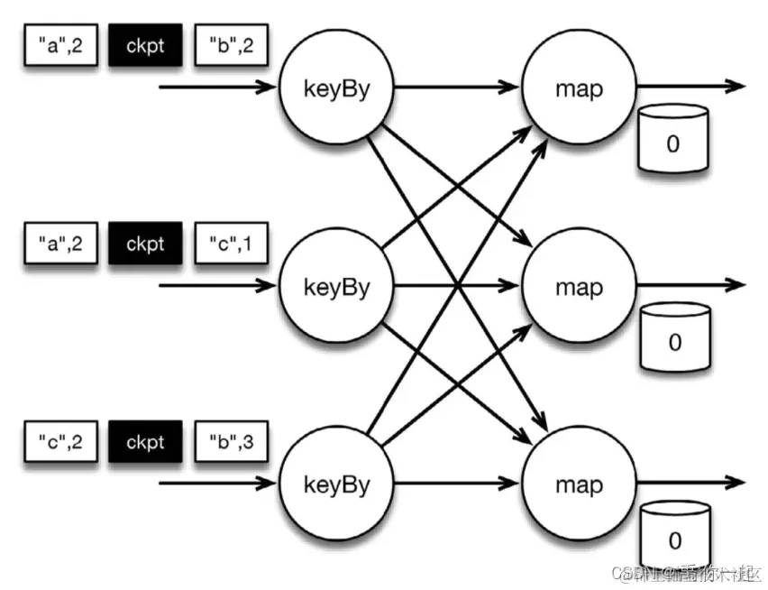
该程序有两个算子: keyBy算子用来将记录按照第一个元素(一个字符串)进行分组,根据该key将数据进行重新分区,然后将记录再发送给下一个算子: 有状态的map算子(mapWithState)。map算子在接收到每个元素后,将输入记录的第二个字段的数据加到现有总数中,再将更新过的元素发射出去。下图表示程序的初始状态: 输入流中的6条记录被检查点分割线(checkpoint barrier)隔开,所有的map算子状态均为0(计数还未开始)。所有key为a的记录将被顶层的map算子处理,所有key为b的记录将被中间层的map算子处理,所有key为c的记录则将被底层的map算子处理。

 

上图是程序的初始状态。注意,a、b、c三组的初始计数状态都是0,即三个圆柱上的值。ckpt表示检查点分割线(checkpoint barriers)。每条记录在处理顺序上严格地遵守在检查点之前或之后的规定,例如["b",2]在检查点之前被处理,["a",2]则在检查点之后被处理。

当该程序处理输入流中的6条记录时,涉及的操作遍布3个并行实例(节点、CPU内核等)。那么,检查点该如何保证exactly-once呢?

检查点分割线和普通数据记录类似。它们由算子处理,但并不参与计算,而是会触发与检查点相关的行为。当读取输入流的数据源(在本例中与keyBy算子内联)遇到检查点屏障时,它将其在输入流中的位置保存到持久化存储中。如果输入流来自消息传输系统(Kafka),这个位置就是偏移量。Flink的存储机制是插件化的,持久化存储可以是分布式文件系统,如HDFS。下图展示了这个过程。

 

当Flink数据源(在本例中与keyBy算子内联)遇到检查点分界线(barrier)时,它会将其在输入流中的位置保存到持久化存储中。这让 Flink可以根据该位置重启。

检查点像普通数据记录一样在算子之间流动。当map算子处理完前3条数据并收到检查点分界线时,它们会将状态以异步的方式写入持久化存储,如下图所示。

 

位于检查点之前的所有记录(["b",2]、["b",3]和["c",1])被map算子处理之后的情况。此时,持久化存储已经备份了检查点分界线在输入流中的位置(备份操作发生在barrier被输入算子处理的时候)。map算子接着开始处理检查点分界线,并触发将状态异步备份到稳定存储中这个动作。

当map算子的状态备份和检查点分界线的位置备份被确认之后,该检查点操作就可以被标记为完成,如下图所示。我们在无须停止或者阻断计算的条件下,在一个逻辑时间点(对应检查点屏障在输入流中的位置)为计算状态拍了快照。通过确保备份的状态和位置指向同一个逻辑时间点,后文将解释如何基于备份恢复计算,从而保证exactly-once。值得注意的是,当没有出现故障时,Flink检查点的开销极小,检查点操作的速度由持久化存储的可用带宽决定。回顾数珠子的例子: 除了因为数错而需要用到皮筋之外,皮筋会被很快地拨过。

检查点操作完成,状态和位置均已备份到稳定存储中。输入流中的所有数据记录都已处理完成。值得注意的是,备份的状态值与实际的状态值是不同的。备份反映的是检查点的状态。

如果检查点操作失败,Flink可以丢弃该检查点并继续正常执行,因为之后的某一个检查点可能会成功。虽然恢复时间可能更长,但是对于状态的保证依旧很有力。只有在一系列连续的检查点操作失败之后,Flink才会抛出错误,因为这通常预示着发生了严重且持久的错误。

现在来看看下图所示的情况: 检查点操作已经完成,但故障紧随其后。

 

 

在这种情况下,Flink会重新拓扑(可能会获取新的执行资源),将输入流倒回到上一个检查点,然后恢复状态值并从该处开始继续计算。在本例中,["a",2]、["a",2]和["c",2]这几条记录将被重播。

下图展示了这一重新处理过程。从上一个检查点开始重新计算,可以保证在剩下的记录被处理之后,得到的map算子的状态值与没有发生故障时的状态值一致。

Flink将输入流倒回到上一个检查点屏障的位置,同时恢复map算子的状态值。然后,Flink从此处开始重新处理。这样做保证了在记录被处理之后,map算子的状态值与没有发生故障时的一致。

Flink检查点算法的正式名称是异步分界线快照(asynchronous barrier snapshotting)。该算法大致基于Chandy-Lamport分布式快照算法。

检查点是Flink最有价值的创新之一,因为它使 Flink 可以保证 exactly-once ,并且不需要牺牲性能

 3.2  Flink+Kafka如何实现端到端的exactly-once语义

我们知道,端到端的状态一致性的实现,需要每一个组件都实现,对于Flink + Kafka的数据管道系统(Kafka进、Kafka出)而言,各组件怎样保证exactly-once语义呢?

  1. 内部 —— 利用checkpoint机制,把状态存盘,发生故障的时候可以恢复,保证内部的状态一致性
  2. source —— kafka consumer作为source,可以将偏移量保存下来,如果后续任务出现了故障,恢复的时候可以由连接器重置偏移量,重新消费数据,保证一致性
  3. sink —— kafka producer作为sink,采用两阶段提交 sink,需要实现一个 TwoPhaseCommitSinkFunction

内部的checkpoint机制我们已经有了了解,那source和sink具体又是怎样运行的呢?接下来我们逐步做一个分析。

我们知道Flink由JobManager协调各个TaskManager进行checkpoint存储,checkpoint保存在 StateBackend中,默认StateBackend是内存级的,也可以改为文件级的进行持久化保存。

 当 checkpoint 启动时,JobManager 会将检查点分界线(barrier)注入数据流;barrier会在算子间传递下去。

每个算子会对当前的状态做个快照,保存到状态后端。对于source任务而言,就会把当前的offset作为状态保存起来。下次从checkpoint恢复时,source任务可以重新提交偏移量,从上次保存的位置开始重新消费数据。 

每个内部的 transform 任务遇到 barrier 时,都会把状态存到 checkpoint 里。

sink 任务首先把数据写入外部 kafka,这些数据都属于预提交的事务(还不能被消费);当遇到 barrier 时,把状态保存到状态后端,并开启新的预提交事务。

当所有算子任务的快照完成,也就是这次的 checkpoint 完成时,JobManager 会向所有任务发通知,确认这次 checkpoint 完成。

当sink 任务收到确认通知,就会正式提交之前的事务,kafka 中未确认的数据就改为“已确认”,数据就真正可以被消费了。

 

所以我们看到,执行过程实际上是一个两段式提交,每个算子执行完成,会进行“预提交”,直到执行完sink操作,会发起“确认提交”,如果执行失败,预提交会放弃掉。

具体的两阶段提交步骤总结如下:

  1. 第一条数据来了之后,开启一个 kafka 的事务(transaction),正常写入 kafka 分区日志但标记为未提交,这就是“预提交”
  2. jobmanager 触发 checkpoint 操作,barrier 从 source 开始向下传递,遇到 barrier 的算子将状态存入状态后端,并通知 jobmanager
  3. sink 连接器收到 barrier,保存当前状态,存入 checkpoint,通知 jobmanager,并开启下一阶段的事务,用于提交下个检查点的数据
  4. jobmanager 收到所有任务的通知,发出确认信息,表示 checkpoint 完成
  5. sink 任务收到 jobmanager 的确认信息,正式提交这段时间的数据
  6. 外部kafka关闭事务,提交的数据可以正常消费了。

所以我们也可以看到,如果宕机需要通过StateBackend进行恢复,只能恢复所有确认提交的操作。