链表相交 · 6 月更文挑战

123 阅读3分钟

持续创作,加速成长!这是我参与「掘金日新计划 · 6 月更文挑战」的第6天,点击查看活动详情

一、题目描述:

给你两个单链表的头节点 headA 和 headB ,请你找出并返回两个单链表相交的起始节点。如果两个链表没有交点,返回 null 。

图示两个链表在节点 c1 开始相交:

题目数据 保证 整个链式结构中不存在环。

注意,函数返回结果后,链表必须 保持其原始结构 。

示例 1:

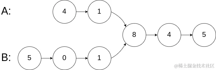
img

输入:intersectVal = 8, listA = [4,1,8,4,5], listB = [5,0,1,8,4,5], skipA = 2, skipB = 3 输出:Intersected at '8' 解释:相交节点的值为 8 (注意,如果两个链表相交则不能为 0)。 从各自的表头开始算起,链表 A 为 [4,1,8,4,5],链表 B 为 [5,0,1,8,4,5]。 在 A 中,相交节点前有 2 个节点;在 B 中,相交节点前有 3 个节点。 示例 2:

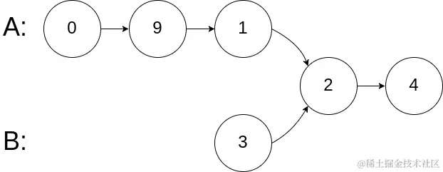
img

输入:intersectVal = 2, listA = [0,9,1,2,4], listB = [3,2,4], skipA = 3, skipB = 1 输出:Intersected at '2' 解释:相交节点的值为 2 (注意,如果两个链表相交则不能为 0)。 从各自的表头开始算起,链表 A 为 [0,9,1,2,4],链表 B 为 [3,2,4]。 在 A 中,相交节点前有 3 个节点;在 B 中,相交节点前有 1 个节点。 示例 3:

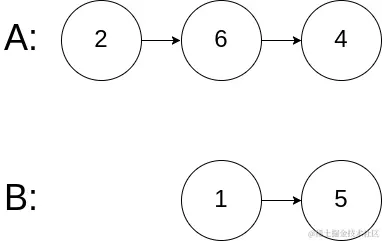
img

输入:intersectVal = 0, listA = [2,6,4], listB = [1,5], skipA = 3, skipB = 2 输出:null 解释:从各自的表头开始算起,链表 A 为 [2,6,4],链表 B 为 [1,5]。 由于这两个链表不相交,所以 intersectVal 必须为 0,而 skipA 和 skipB 可以是任意值。 这两个链表不相交,因此返回 null 。

提示:

listA 中节点数目为 m listB 中节点数目为 n 0 <= m, n <= 3 * 104 1 <= Node.val <= 105 0 <= skipA <= m 0 <= skipB <= n 如果 listA 和 listB 没有交点,intersectVal 为 0 如果 listA 和 listB 有交点,intersectVal == listA[skipA + 1] == listB[skipB + 1]

进阶:你能否设计一个时间复杂度 O(n) 、仅用 O(1) 内存的解决方案?

来源:力扣(LeetCode) 链接:leetcode.cn/problems/in… 著作权归领扣网络所有。商业转载请联系官方授权,非商业转载请注明出处。

二、思路分析:

首先要注意,判断链表是否相交是看指针是否相等而不是数值是否相等。

先分别计算出两个链表的长度并计算长度差 diff,之后让较长的链表向前移动 diff 步,这样两个链表就实现了尾部对齐(即操作两个链表的指针在同一起点上)。最后遍历两个数组判断是否有交点

具体过程:

使用两个指针分别统计两个来链表的长度

让 headA 指向较长的链表,便于后续操作

计算两个链表的长度差,让两个链表尾部对齐

遍历两个来链表,若遇到相同说明相交,返回相交结点,无相交则返回空指针

三、AC 代码:

struct ListNode *getIntersectionNode(struct ListNode *headA, struct ListNode *headB) {
  
    struct ListNode* currA = headA;
    struct ListNode* currB = headB;
    int countA = 0, countB = 0;
    while (currA) {
        countA++;
        currA = currA->next;
    }
    while (currB) {
        countB++;
        currB = currB->next;
    }
​
    if (countB > countA) {
        struct ListNode* temp = headA;
        headA = headB;
        headB = temp;
    }
 
    int diff = countA > countB ? countA - countB : countB - countA;
    
    while (diff--) {
        headA = headA->next;
    }
    while (headA) {
        if (headA == headB) {
            return headA;
        }
        headA = headA->next;
        headB = headB->next;
    }
    return NULL;
}
​

四、总结:

掘友们,解题不易,留下个赞或评论再走吧!谢啦~ 💐

希望对你有帮助,期待您找到心意的工作和满意的offer

期待下次再见~

\