opencv 傅里叶变换(python)

442 阅读10分钟

傅里叶变换

图像处理一般分为空间域处理和频率域处理。

空间域处理是直接对图像内的像素进行处理。

空间域处理主要划分为灰度变换和空间滤波两种形式。

  • 灰度变换是对图像内的单个像素进行处理,比如调节对比度和处理阈值等。
  • 空间滤波涉及图像质量的改变,例如图像平滑处理。空间域处理的计算简单方便,运算速度更快。

频率域处理是先将图像变换到频率域,然后在频率域对图像进行处理,最后再通过反变换将图像从频率域变换到空间域。

理论基础

时间差,在傅里叶变换里就是相位。相位表述的是与时间差相关的信息。

在图像处理过程中,傅里叶变换就是将图像分解为正弦分量和余弦分量两部分,即将图像从空间域转换到频域。

数字图像经过傅里叶变换后,得到的频域值是复数。因此,显示傅里叶变换的结果需要使用实数图像(real image)加虚数图像(complex image),或者幅度图像(magnitude image)加相位图像(phase image)的形式。

因为幅度图像包含了原图像中我们所需要的大部分信息,所以在图像处理过程中,通常仅使用幅度图像。

如果希望先在频域内对图像进行处理,再通过逆傅里叶变换得到修改后的空域图像,就必须同时保留幅度图像和相位图像。

对图像进行傅里叶变换后,会得到图像中的低频和高频信息。

低频信息对应图像内变化缓慢的灰度分量。高频信息对应图像内变化越来越快的灰度分量,是由灰度的尖锐过渡造成的。

傅里叶变换的目的,就是为了将图像从空域转换到频域,并在频域内实现对图像内特定对象的处理,然后再对经过处理的频域图像进行逆傅里叶变换得到空域图像。

傅里叶变换在图像处理领域发挥着非常关键的作用,可以实现图像增强、图像去噪、边缘检测、特征提取、图像压缩和加密等。

Numpy实现傅里叶变换

Numpy模块中的fft2()函数可以实现图像的傅里叶变换。

实现傅里叶变换

Numpy提供的实现傅里叶变换的函数是numpy.fft.fft2(),它的语法格式是:

返回值 = numpy.fft.fft2(原始图像)

参数“原始图像”的类型是灰度图像,函数的返回值是一个复数数组(complex ndarray)。

经过该函数的处理,就能得到图像的频谱信息。

此时,图像频谱中的零频率分量位于频谱图像(频域图像)的左上角

image-20220604151713378

为了便于观察,通常会使用numpy.fft.fftshift()函数将零频率成分移动到频域图像的中心位置。

函数numpy.fft.fftshift()的语法格式是:

返回值=numpy.fft.fftshift(原始频谱) 

使用该函数处理后,图像频谱中的零频率分量会被移到频域图像的中心位置,对于观察傅里叶变换后频谱中的零频率部分非常有效。

对图像进行傅里叶变换后,得到的是一个复数数组。

为了显示为图像,需要将它们的值调整到[0, 255]的灰度空间内,使用的公式为:

像素新值=20*np.log(np.abs(频谱值))

用Numpy实现傅里叶变换,观察得到的频谱图像。

import cv2 
import numpy as np 
import matplotlib.pyplot as plt

img = cv2.imread('./img/hand1.png',0) 
f = np.fft.fft2(img) 
fshift = np.fft.fftshift(f) 
magnitude_spectrum = 20*np.log(np.abs(fshift)) 
plt.subplot(121) 
plt.imshow(img, cmap = 'gray') 
plt.title('original') 
plt.axis('off') 
plt.subplot(122) 
plt.imshow(magnitude_spectrum, cmap = 'gray') 
plt.title('result') 
plt.axis('off') 
plt.show() 

image-20220604152158301

实现逆傅里叶变换

注意: 如果在傅里叶变换过程中使用了numpy.fft.fftshift()函数移动零频率分量,那么在逆傅里叶变换过程中,需要先使用numpy.fft.ifftshift()函数将零频率分量移到原来的位置,再进行逆傅里叶变换

函数numpy.fft.ifftshift()是numpy.fft.fftshift()的逆函数,其语法格式为:

调整后的频谱 = numpy.fft.ifftshift(原始频谱)

numpy.fft.ifft2()函数可以实现逆傅里叶变换,返回空域复数数组。

它是numpy.fft.fft2()的逆函数,该函数的语法格式为:

返回值=numpy.fft.ifft2(频域数据)

函数numpy.fft.ifft2()的返回值仍旧是一个复数数组(complex ndarray)。

逆傅里叶变换得到的空域信息是一个复数数组,需要将该信息调整至[0, 255]灰度空间内,使用的公式为:

iimg = np.abs(逆傅里叶变换结果)

在Numpy内实现傅里叶变换、逆傅里叶变换,观察逆傅里叶变换的结果图像。

import cv2 
import numpy as np 
import matplotlib.pyplot as plt

img = cv2.imread('./img/hand1.png',0) 
f = np.fft.fft2(img) 
fshift = np.fft.fftshift(f)

ishift = np.fft.ifftshift(fshift) 
iimg = np.fft.ifft2(ishift) 

iimg = np.abs(iimg) 
 
plt.subplot(121), plt.imshow(img, cmap = 'gray') 
plt.title('original'), plt.axis('off') 
plt.subplot(122), plt.imshow(iimg, cmap = 'gray') 
plt.title('iimg'), plt.axis('off') 
plt.show()

image-20220604152633404

高通滤波示例

一幅图像内,同时存在着高频信号和低频信号。

  • 低频信号对应图像内变化缓慢的灰度分量。例如,在一幅大草原的图像中,低频信号对应着颜色趋于一致的广袤草原。
  • 高频信号对应图像内变化越来越快的灰度分量,是由灰度的尖锐过渡造成的。如果在上面的大草原图像中还有一头狮子,那么高频信号就对应着狮子的边缘等信息。

滤波器能够允许一定频率的分量通过或者拒绝其通过,按照其作用方式可以划分为低通滤波器和高通滤波器。

  • 允许低频信号通过的滤波器称为低通滤波器。低通滤波器使高频信号衰减而对低频信号放行,会使图像变模糊。
  • 允许高频信号通过的滤波器称为高通滤波器。高通滤波器使低频信号衰减而让高频信号通过,将增强图像中尖锐的细节,但是会导致图像的对比度降低。

傅里叶变换可以将图像的高频信号和低频信号分离。

通过对图像的频域处理,可以实现图像增强、图像去噪、边缘检测、特征提取、压缩和加密等操作。

在Numpy内对图像进行傅里叶变换,得到其频域图像。然后,在频域内将低频分量的值处理为0,实现高通滤波。最后,对图像进行逆傅里叶变换,得到恢复的原始图像。

import cv2 
import numpy as np 
import matplotlib.pyplot as plt 
img = cv2.imread('./img/hand1.png',0) 
f = np.fft.fft2(img) 
fshift = np.fft.fftshift(f) 
rows, cols = img.shape 
crow, ccol = int(rows/2) , int(cols/2) 
fshift[crow-30:crow+30, ccol-30:ccol+30] = 0 
ishift = np.fft.ifftshift(fshift) 
iimg = np.fft.ifft2(ishift) 
iimg = np.abs(iimg) 
plt.subplot(121), plt.imshow(img, cmap = 'gray') 
plt.title('original'), plt.axis('off') 
plt.subplot(122), plt.imshow(iimg, cmap = 'gray') 
plt.title('iimg'), plt.axis('off') 
plt.show() 

image-20220604153041900

OpenCV实现傅里叶变换

OpenCV提供了函数cv2.dft()和cv2.idft()来实现傅里叶变换和逆傅里叶变换

实现傅里叶变换

函数cv2.dft()的语法格式为:

返回结果=cv2.dft(原始图像,转换标识)

在使用该函数时,需要注意参数的使用规范:

  • 对于参数“原始图像”,要首先使用np.float32()函数将图像转换成np.float32格式。
  • “转换标识”的值通常为“cv2.DFT_COMPLEX_OUTPUT”,用来输出一个复数阵列。

函数cv2.dft()返回的结果与使用Numpy进行傅里叶变换得到的结果是一致的,但是它返回的值是双通道的,第1个通道是结果的实数部分,第2个通道是结果的虚数部分。

经过函数cv2.dft()的变换后,得到了原始图像的频谱信息。

此时,零频率分量并不在中心位置,为了处理方便需要将其移至中心位置,可以用函数numpy.fft.fftshift()实现。

例如,如下语句将频谱图像dft中的零频率分量移到频谱中心,得到了零频率分量位于中心的频谱图像dftshift。

dftShift = np.fft.fftshift(dft) 

经过上述处理后,频谱图像还只是一个由实部和虚部构成的值。要将其显示出来,还要做进一步的处理才行。

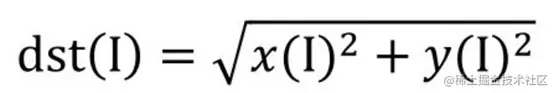
函数cv2.magnitude()可以计算频谱信息的幅度。该函数的语法格式为:

返回值=cv2.magnitude(参数1,参数2)
  • 参数1:浮点型x坐标值,也就是实部。
  • 参数2:浮点型y坐标值,也就是虚部,它必须和参数1具有相同的size

函数cv2.magnitude()的返回值是参数1和参数2的平方和的平方根,公式为:

image-20220604153537762

得到频谱信息的幅度后,通常还要对幅度值做进一步的转换,以便将频谱信息以图像的形式展示出来。简单来说,就是需要将幅度值映射到灰度图像的灰度空间[0, 255]内,使其以灰度图像的形式显示出来。

这里使用的公式为:

result = 20*np.log(cv2.magnitude(实部,虚部)) 
import numpy as np 
import cv2 
img = cv2.imread('./img/hand1.png',0) 
dft = cv2.dft(np.float32(img), flags = cv2.DFT_COMPLEX_OUTPUT) 
print(dft) 
dftShift = np.fft.fftshift(dft) 
print(dftShift) 
result = 20*np.log(cv2.magnitude(dftShift[:, :,0], dftShift[:, :,1]))  #两个参数,需要拆分通道
print(result) 

用OpenCV函数对图像进行傅里叶变换,并展示其频谱信息。

import numpy as np 
import cv2 
import matplotlib.pyplot as plt

img = cv2.imread('./img/hand1.png',0) 
dft = cv2.dft(np.float32(img), flags = cv2.DFT_COMPLEX_OUTPUT) 
dftShift = np.fft.fftshift(dft) 
result = 20*np.log(cv2.magnitude(dftShift[:, :,0], dftShift[:, :,1])) 
plt.subplot(121), plt.imshow(img, cmap = 'gray') 
plt.title('original'), plt.axis('off') 
plt.subplot(122), plt.imshow(result, cmap = 'gray') 
plt.title('result'), plt.axis('off') 
plt.show() 
实现逆傅里叶变换

在OpenCV中,使用函数cv2.idft()实现逆傅里叶变换,该函数是傅里叶变换函数cv2.dft()的逆函数。其语法格式为:

返回结果=cv2.idft(原始数据) 

对图像进行傅里叶变换后,通常会将零频率分量移至频谱图像的中心位置。如果使用函数numpy.fft.fftshift()移动了零频率分量,那么在进行逆傅里叶变换前,要使用函数numpy.fft.ifftshift()将零频率分量恢复到原来位置。

注意: 在进行逆傅里叶变换后,得到的值仍旧是复数,需要使用函数cv2.magnitude()计算其幅度。

用OpenCV函数对图像进行傅里叶变换、逆傅里叶变换,并展示原始图像及经过逆傅里叶变换后得到的图像。

import numpy as np 
import cv2 
import matplotlib.pyplot as plt

img = cv2.imread('./img/hand1.png',0) 
dft = cv2.dft(np.float32(img), flags = cv2.DFT_COMPLEX_OUTPUT) 
dftShift = np.fft.fftshift(dft)

ishift = np.fft.ifftshift(dftShift) 
iImg = cv2.idft(ishift) 
iImg= cv2.magnitude(iImg[:, :,0], iImg[:, :,1]) # 计算幅度
plt.subplot(121), plt.imshow(img, cmap = 'gray') 
plt.title('original'), plt.axis('off') 
plt.subplot(122), plt.imshow(iImg, cmap = 'gray') 
plt.title('inverse'), plt.axis('off') 
plt.show() 
低通滤波示例

在一幅图像内,低频信号对应图像内变化缓慢的灰度分量。图像进行低通滤波后会变模糊。

image-20220604154405895

实现的中间步骤

rows, cols = img.shape 
crow, ccol = int(rows/2) , int(cols/2) 
mask = np.zeros((rows, cols,2), np.uint8) # 二维的原因,有实部和虚部 
mask[crow-30:crow+30, ccol-30:ccol+30,:] = 1 

然后,将其与频谱图像进行运算,实现低通滤波。这里采用的运算形式是:

fShift = dftShift*mask

使用函数cv2.dft()对图像进行傅里叶变换,得到其频谱图像。然后,在频域内将其高频分量的值处理为0,实现低通滤波。最后,对图像进行逆傅里叶变换,得到恢复的原始图像。

import numpy as np 
import cv2 
import matplotlib.pyplot as plt 
img = cv2.imread('./img/hand1.png',0) 
dft = cv2.dft(np.float32(img), flags = cv2.DFT_COMPLEX_OUTPUT) 
dftShift = np.fft.fftshift(dft)

rows, cols = img.shape 
crow, ccol = int(rows/2) , int(cols/2) 
mask = np.zeros((rows, cols,2), np.uint8) 
#两个通道,与频域图像匹配 
mask[crow-30:crow+30, ccol-30:ccol+30,:] = 1 
fShift = dftShift*mask 
ishift = np.fft.ifftshift(fShift) 
iImg = cv2.idft(ishift) 
iImg= cv2.magnitude(iImg[:, :,0], iImg[:, :,1])

plt.subplot(121), plt.imshow(img, cmap = 'gray') 
plt.title('original'), plt.axis('off') 
plt.subplot(122), plt.imshow(iImg, cmap = 'gray') 
plt.title('inverse'), plt.axis('off') 
plt.show() 

image-20220604154752683

经过低通滤波后,图像的边缘信息被削弱了。

时域卷积 --> 频域乘积