重建二叉树

196 阅读1分钟

题目

输入某二叉树的前序遍历和中序遍历的结果,请构建该二叉树并返回其根节点。

假设输入的前序遍历和中序遍历的结果中都不含重复的数字。

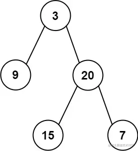
image.png

Input: preorder = [3,9,20,15,7], inorder = [9,3,15,20,7]
Output: [3,9,20,null,null,15,7]

思路:

按照先序和中序的特点,先序的根结点在前,在中序中,其左边为左子树,右边为右子树。

代码

class Solution {
    Map<Integer,Integer> inorder_map = new HashMap<>();
    public TreeNode buildTree(int[] preorder, int[] inorder) {
        int n = inorder.length;
        
        for(int i=0;i<n;i++){
            inorder_map.put(inorder[i],i);
        }
        
        return build(preorder, inorder,0,n-1,0,n-1);
    }
    public TreeNode build(int[] preorder, int[] inorder,int pres,int pree,int ins,int ine){
        if(pres > pree) return null;

        int root_index = pres;

        int ins_root_index = inorder_map.get(preorder[root_index]);

        TreeNode root = new TreeNode(preorder[root_index]);

        int size = ins_root_index - ins;

        root.left = build(preorder, inorder,root_index+1,root_index+size,ins,ins_root_index-1);
        root.right = build(preorder, inorder,root_index+1+size,pree,ins_root_index+1,ine);
        return root;
    }
}