LeetCode - #96 不同的二叉搜索树(Top 100)

2,512 阅读2分钟

持续创作,加速成长!这是我参与「掘金日新计划 · 6 月更文挑战」的第11天,点击查看活动详情

前言

本题为 LeetCode 前 100 高频题

我们社区陆续会将顾毅(Netflix 增长黑客,《iOS 面试之道》作者,ACE 职业健身教练。)的 Swift 算法题题解整理为文字版以方便大家学习与阅读。

LeetCode 算法到目前我们已经更新到 94 期,我们会保持更新时间和进度(周一、周三、周五早上 9:00 发布),每期的内容不多,我们希望大家可以在上班路上阅读,长久积累会有很大提升。

不积跬步,无以至千里;不积小流,无以成江海,Swift社区 伴你前行。如果大家有建议和意见欢迎在文末留言,我们会尽力满足大家的需求。

难度水平:中等

1. 描述

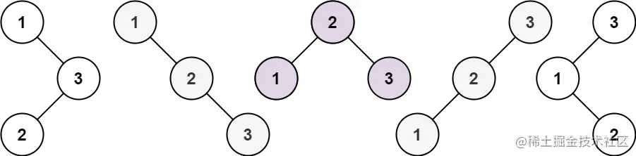
给你一个整数 n ,求恰由 n 个节点组成且节点值从 1n 互不相同的 二叉搜索树 有多少种?返回满足题意的二叉搜索树的种数。

2. 示例

示例 1

输入:n = 3
输出:5

示例 2

输入:n = 1
输出:1

约束条件:

  • 1 <= n <= 19

3. 答案

/**
 * Definition for a binary tree node.
 * public class TreeNode {
 *     public var val: Int
 *     public var left: TreeNode?
 *     public var right: TreeNode?
 *     public init(_ val: Int) {
 *         self.val = val
 *         self.left = nil
 *         self.right = nil
 *     }
 * }
 */

class UniqueBinarySearchTrees {
    func numTrees(_ n: Int) -> Int {
        guard n > 1 else {
            return 1
        }
        
        var dp = Array(repeating: 0, count: n + 1)
        dp[0] = 1
        
        for i in 1...n {
            for j in 0..<i {
                dp[i] += dp[j] * dp[i - j - 1]
            }
        }
        
        return dp[n]
    }
}
  • 主要思想:动态规划,对于每个节点为根,dp[i] += dp[j] * dp[i - j - 1]
  • 时间复杂度: O(n^2)
  • 空间复杂度: O(n)

该算法题解的仓库:LeetCode-Swift

点击前往 LeetCode 练习

关于我们

我们是由 Swift 爱好者共同维护,我们会分享以 Swift 实战、SwiftUI、Swift 基础为核心的技术内容,也整理收集优秀的学习资料。

后续还会翻译大量资料到我们公众号,有感兴趣的朋友,可以加入我们。