AcWing 801. 二进制中1的个数

122 阅读2分钟

持续创作,加速成长!这是我参与「掘金日新计划 · 6 月更文挑战」的第11天,点击查看活动详情

题目

给定一个长度为 n 的数列,请你求出数列中每个数的二进制表示中 1 的个数。

输入格式

第一行包含整数 n。

第二行包含 n 个整数,表示整个数列。

输出格式

共一行,包含 n 个整数,其中的第 i 个数表示数列中的第 i 个数的二进制表示中 1 的个数。

数据范围

1 ≤ n ≤ 100000

0 ≤ 数列中元素的值 ≤ 10^9

输入样例:

5
1 2 3 4 5

输出样例:

1 1 2 1 2

思路

Snipaste_2022-07-07_17-22-09.png

Snipaste_2022-07-07_17-26-38.png

Snipaste_2022-07-07_17-30-02.png 暴力算法

对于每一个数字a, a & 1 得到了该数字的最后一位,之后将 a 右移一位,直到为 0 ,就得到了 1 的个数

lowbit算法

使用lowbit操作,进行,每次lowbit操作截取一个数字最后一个1后面的所有位,每次减去lowbit得到的数字,直到数字减到0,就得到了最终1的个数,

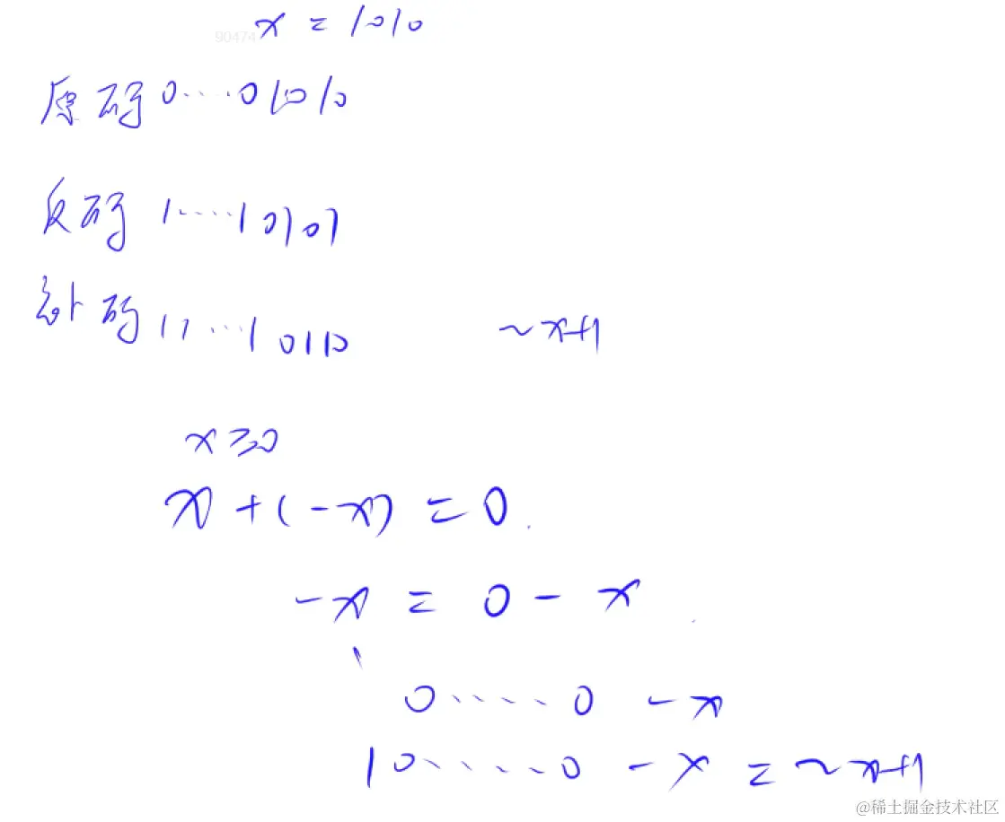
lowbit原理

根据计算机负数表示的特点,如一个数字原码是10001000,他的负数表示形势是补码,就是反码+1,反码是01110111,加一则是01111000,二者按位与得到了1000,就是我们想要的lowbit操作

位运算模板

求n的第k位数字: n >> k & 1
返回n的最后一位1lowbit(n) = n & -n

ac代码

stl 库函数

#include <iostream>
#include <cstring>
#include <algorithm>
using namespace std;
const int N = 100010;
int a[N], n;
int main(){
    cin >> n; 
    for(int i = 0;i < n;i++) cin >> a[i]; 
    for(int i = 0 ;i < n;i++)cout << __builtin_popcount(a[i]) << " ";
}

暴力

#include <iostream>
#include <cstring>
#include <algorithm>
using namespace std;
int n;
int a,k;
int main(){
    scanf("%d",&n);
    for(int i=0;i<n;i++){
        scanf("%d",&a);
        k=0;
        while(a){
            k+=a&1;
            a=a>>1;
        }
        printf("%d ",k);
    }
    return 0;
}

lowbit算法

#include <iostream>
#include <cstring>
#include <algorithm>
using namespace std;
int main(){
    int n;
    cin >> n;
    while (n -- ){
        int m,res = 0;
        cin >> m;
        for(int i = m;i;i -= i & -i) res++;
        cout << res << ' ';
    }
    return 0;
}

位运算

#include <iostream>
#include <cstring>
#include <algorithm>
using namespace std;
int cnt(int b){
    int res = 0;
    while(b > 0){
        b = b & (b - 1);
        res++;
    }
    return res;
}
int main(){
    int n,b;
    cin >> n;
    for(int i = 0;i < n;i++){
        cin >> b;
        cout << cnt(b) << " ";
    }
    return 0;
}