「LeetCode」230-二叉搜索树中第K小的元素⚡️

123 阅读2分钟

持续创作,加速成长!这是我参与「掘金日新计划 · 6 月更文挑战」的第10天,点击查看活动详情

大家好,我是速冻鱼🐟,一条水系前端💦,喜欢花里胡哨💐,持续沙雕🌲,是隔壁寒草🌿的好兄弟,刚开始写文章。 如果喜欢我的文章,可以关注➕点赞,为我注入能量,与我一同成长吧~

前言🌧️

算法,对前端人来说陌生又熟悉,很多时候我们都不会像后端工程师一样重视这项能力。但事实上,算法对每一个程序员来说,都有着不可撼动的地位。

因为开发的过程就是把实际问题转换成计算机可识别的指令,也就是《数据结构》里说的,「设计出数据结构,在施加以算法就行了」。

编写指令的好坏,会直接影响到程序的性能优劣,而指令又由数据结构和算法组成,所以数据结构和算法的设计基本上决定了最终程序的好坏

题目🦀

230. 二叉搜索树中第K小的元素

难度中等

给定一个二叉搜索树的根节点 root ,和一个整数 k ,请你设计一个算法查找其中第 k 个最小元素(从 1 开始计数)。

示例 1:

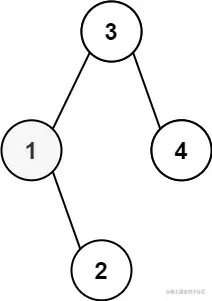
img

输入:root = [3,1,4,null,2], k = 1
输出:1

示例 2:

img

输入:root = [5,3,6,2,4,null,null,1], k = 3
输出:3

提示:

  • 树中的节点数为 n

  • 1 <= k <= n <= 104

  • 0 <= Node.val <= 104

**进阶:**如果二叉搜索树经常被修改(插入/删除操作)并且你需要频繁地查找第 k 小的值,你将如何优化算法?

解题思路🌵

  • 利用二叉搜索树的特点解决此题
  • 二叉搜索树是按照中序遍历依次递增的树

解题步骤🐂

  • 可以按照中序遍历依次将结果收集
  • 最后返回result[k-1]即可

源码1🔥

/**
 * Definition for a binary tree node.
 * function TreeNode(val, left, right) {
 *     this.val = (val===undefined ? 0 : val)
 *     this.left = (left===undefined ? null : left)
 *     this.right = (right===undefined ? null : right)
 * }
 */
/**
 * @param {TreeNode} root
 * @param {number} k
 * @return {number}
 */
var kthSmallest = function(root, k) {
    const result = []

    const dfs=(root)=>{
        if(!root){
            return 
        }
        dfs(root.left)
        result.push(root.val)
        dfs(root.right)
    }
    dfs(root)

    return result[k-1]
    
};

源码2🔥

/**
 * Definition for a binary tree node.
 * function TreeNode(val, left, right) {
 *     this.val = (val===undefined ? 0 : val)
 *     this.left = (left===undefined ? null : left)
 *     this.right = (right===undefined ? null : right)
 * }
 */
/**
 * @param {TreeNode} root
 * @param {number} k
 * @return {number}
 */
var kthSmallest = function(root, k) {
    let count = 0;
    const stack = [root]

    while(stack.length){
        while(root){
            stack.push(root)
            root = root.left
        }
        root = stack.pop()
        count++
        if(count===k){
            return root.val
        }
        root=root.right
    }
};

时间复杂度:O(n)

空间复杂度:O(1)

结束语🌞

那么鱼鱼的LeetCode算法篇的「LeetCode」230-二叉搜索树中第K小的元素⚡️就结束了,算法这个东西没有捷径,只能多写多练,多总结,文章的目的其实很简单,就是督促自己去完成算法练习并总结和输出,菜不菜不重要,但是热爱🔥,喜欢大家能够喜欢我的短文,也希望通过文章认识更多志同道合的朋友,如果你也喜欢折腾,欢迎加我好友,一起沙雕,一起进步

github🤖:sudongyu

个人博客👨‍💻:速冻鱼blog

vx👦:sudongyuer

写在最后

伙伴们,如果喜欢我的口水话给🐟🐟点一个赞👍或者关注➕都是对我最大的支持。