LeetCode 练习——78. 子集

137 阅读2分钟

本文已参与「新人创作礼」活动,一起开启掘金创作之路。

1.题目描述

78. 子集

给你一个整数数组 nums ,数组中的元素 互不相同 。返回该数组所有可能的子集(幂集)。

解集 不能 包含重复的子集。你可以按 任意顺序 返回解集。  

示例 1:

输入:nums = [1,2,3]
输出:[[],[1],[2],[1,2],[3],[1,3],[2,3],[1,2,3]]

示例 2:

输入:nums = [0]  
输出:[[],[0]]

 

2.解题思路与代码

2.1 解题思路

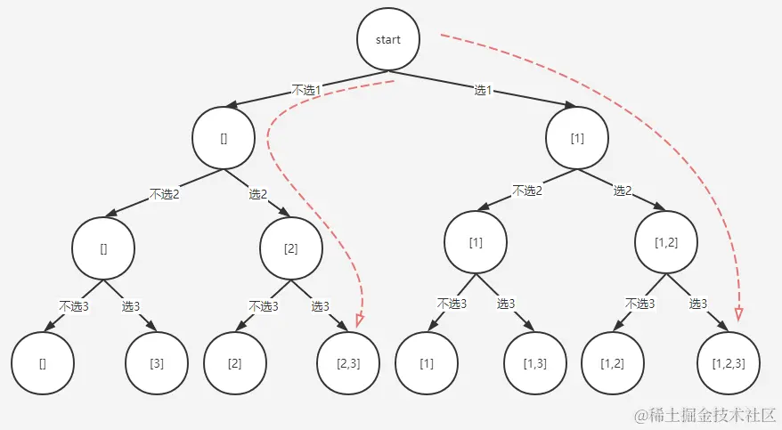
这道题需要得到一个数组的所以字子数组,可以按照数组,将数组展开成一个树形结构,即在数组每一位上判断是否需要当前位,以 [1, 2, 3] 为例,展开结果如下:

image.png

展开成树形结构后,便可以使用递归进行遍历。每一条边表示是否选择数组中的某一个值,直到遍历到最后一个,则当前路径上的结果便是其中一个子数组。

image.png

当遍历到叶节点时,即指向数组最后一位,就需要将当前路径存入结果类表中。在每一轮完成之后需要从当前分支路径上删除最后一个以恢复到选择之前的路径状态。

2.2 代码

class Solution {
    List<List<Integer>> ans = new ArrayList<>();

    public List<List<Integer>> subsets(int[] nums) {
        process(0, new ArrayList<>(), nums);
        return ans;
    }

    public void process(int index, List<Integer> tmp, int[] nums) {
        if (index >= nums.length) {
            List<Integer> path = new ArrayList<>(tmp);
            ans.add(path);
            return;
        }
        process(index + 1, tmp, nums);
        tmp.add(nums[index]);
        process(index + 1, tmp, nums);
        tmp.remove(tmp.size() - 1);
    }
}

2.3 测试结果

通过测试

image.png

3.总结

  • 需要将数组展开成树形结构,即数组元素选与不选
  • 访问到树的叶节点时便将路径结果放入结果列表中表示一个子数组
  • 每一轮处理完成之后需要将路径中最后一个元素删除恢复状态