LeetCode探索(81):450-删除二叉搜索树中的节点

116 阅读2分钟

持续创作,加速成长!这是我参与「掘金日新计划 · 6 月更文挑战」的第9天,点击查看活动详情

题目

给定一个二叉搜索树的根节点 root 和一个值 key,删除二叉搜索树中的 key 对应的节点,并保证二叉搜索树的性质不变。返回二叉搜索树(有可能被更新)的根节点的引用。

一般来说,删除节点可分为两个步骤:

  1. 首先找到需要删除的节点;
  2. 如果找到了,删除它。

示例 1:

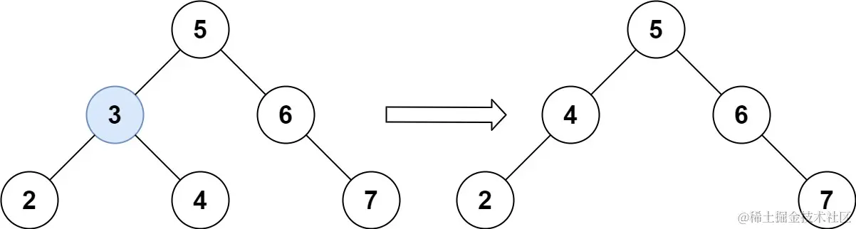
img

输入:root = [5,3,6,2,4,null,7], key = 3
输出:[5,4,6,2,null,null,7]
解释:给定需要删除的节点值是 3,所以我们首先找到 3 这个节点,然后删除它。
一个正确的答案是 [5,4,6,2,null,null,7], 如下图所示。
另一个正确答案是 [5,2,6,null,4,null,7]。

示例 2:

输入: root = [5,3,6,2,4,null,7], key = 0
输出: [5,3,6,2,4,null,7]
解释: 二叉树不包含值为 0 的节点

示例 3:

输入: root = [], key = 0
输出: []

提示:

  • 节点数的范围 [0, 10^4].
  • -10^5 <= Node.val <= 10^5
  • 节点值唯一
  • root 是合法的二叉搜索树
  • -10^5 <= key <= 10^5

进阶: 要求算法时间复杂度为 O(h),h 为树的高度。

思考

本题难度中等。

首先是读懂题意。给出二叉搜索树的根节点 root 和一个值 key,我们需要删除二叉搜索树中的 key 对应的节点,并保证二叉搜索树的性质不变。

对于二叉搜索树,其拥有以下性质:

  • 左子树的所有节点(如果有)的值均小于当前节点的值;

  • 右子树的所有节点(如果有)的值均大于当前节点的值;

  • 左子树和右子树均为二叉搜索树。

我们可以使用递归来解决问题。依次判断根节点、左右子树的值是否为key,如果不是则继续递归判断。考虑到二叉搜索树的特定,当root.val > key时,值为 key 的节点可能存在于 root 的左子树中,因此我们需要递归地在 root.left 调用 deleteNode,并返回 root。依此类推。

解答

方法一:递归

/**
 * @param {TreeNode} root
 * @param {number} key
 * @return {TreeNode}
 */
var deleteNode = function (root, key) {
  // root 为空
  if (!root) {
    return null;
  }
  // 值为 key 的节点可能存在于 root 的左子树中,需要递归地在 root.left 调用 deleteNode,并返回 root
  if (root.val > key) {
    root.left = deleteNode(root.left, key);
    return root;
  }
  // 值为 key 的节点可能存在于 root 的右子树中
  if (root.val < key) {
    root.right = deleteNode(root.right, key);
    return root;
  }
  // root 即为要删除的节点
  if (root.val === key) {
    if (!root.left && !root.right) {
      return null;
    }
    if (!root.right) {
      return root.left;
    }
    if (!root.left) {
      return root.right;
    }
    // root 有左右子树
    // 最终 successor 是 root 的右子树中的最小节点
    let successor = root.right;
    while (successor.left) {
      successor = successor.left;
    }
    // 在 root.right 中删除原有的successor节点
    // 比如二叉搜索树[3,2,4],删除节点3,得到[4,2,null]。
    // successor为节点4,root.right再经过deleteNode()删除原有的successor节点得到null,
    // successor.right = root.right; successor.left = root.left; 返回successor
    root.right = deleteNode(root.right, successor.val);
    successor.right = root.right;
    successor.left = root.left;
    return successor;
  }
  return root;
};

// 执行用时:84 ms, 在所有 JavaScript 提交中击败了91.70%的用户
// 内存消耗:49.4 MB, 在所有 JavaScript 提交中击败了96.38%的用户
// 通过测试用例:91 / 91

复杂度分析:

  • 时间复杂度:O(n),其中 n 为 root 的节点个数。
  • 空间复杂度:O(n)。递归的深度最深为 O(n)。

参考