tree

111 阅读7分钟

持续创作,加速成长!这是我参与「掘金日新计划 · 6 月更文挑战」的第8天,点击查看活动详情

百度百科:

是一种数据结构,它是由n(n≥0)个有限节点组成一个具有层次关系的集合。把它叫做“树”是因为它看起来像一棵倒挂的树,也就是说它是根朝上,而叶朝下的。它具有以下的特点:

每个节点有零个或多个子节点;没有父节点的节点称为根节点;每一个非根节点有且只有一个父节点;除了根节点外,每个子节点可以分为多个不相交的子树。

基本概念

节点【node】

每个元素称为节点

根节点【root】

特殊的节点,其没有父节点。

子节点

又称为孩子节点。

节点的度

一个节点含有的子节点的个数称为该节点的度;

叶子节点

特殊的子节点,其节点度为0

树的度

根节点的度

节点层次

根为第1层,根的子节点为第2层。。。。

节点深度和高度

深度:从根节点到该节点的路径长,这里没必要纠结是否从0开始

高度:从该节点到叶子节点的最大长度,这里没必要纠结是否从0开始

树的高度或深度

最大的节点层次。

分类

根据一个节点最多有几个“叉”,即最多有几个子节点,我们可以对树进行分类。常用的是二叉树;超过“二叉”的树,一般统称为多叉树。

二叉树

树的任意节点最多有两个子节点。

满二叉树

树的任意一层非叶子节点都是满的,那么称为满二叉树。

image-20220517204311142.png

完全二叉树

叶子节点都在最底下两层,最后一层的叶子节点都靠左排列,并且除了最后一层,其他层的节点个数都要达到最大,这种二叉树叫做完全二叉树。

image-20220517204542560.png

image-20220517204558059.png 这样的不是完全二叉树:

image-20220517204731153.png

堆是一个完全二叉树。

由于其特别的排序规则,完全可以用数组的新式表现出来。比如说某个父节点下标为 n,那么它的两个子节点分别为2n+1和2n+2。

例子:比如PriorityQueue

二叉查找树(BST)

又叫二叉排序树。树中的任意一个节点,其左子树中的每个节点的值,都要小于这个节点的值,而右子树节点的值都大于这个节点的值。

其查找原理类似于有序数组中的二分查找。

image-20220517205555504.png

特别地:如果插入顺序是 9、8、7、6.。。。。时,二叉查找树会退化成链表:

image-20220517205922966.png

平衡二叉树

平衡二叉树的定义:二叉树中任意一个节点的左右子树的高度相差不能大于 1。

平衡二叉查找树(AVL)

其实在大部分情况下平衡二叉树就指的是平衡二叉查找树。

为了防止二叉查找树退化为链表,导致查询的效率大幅下降,所以又发明了平衡二叉查找树。平衡二叉查找树在二叉查找树的定义上又增加了1点,规定二叉查找树中任意一个节点的左右子树的高度相差不能大于 1。

平衡二叉树实现的大部分过程和二叉查找树是一样的(学平衡二叉树之前一定要会二叉查找树),区别就在于插入和删除之后要写一个旋转算法去维持平衡,维持平衡需要借助一个节点高度的属性。

例子

现在有一数组:a[10] = {3, 2, 1, 4, 5, 6, 7, 10, 9, 8}需要构建成一个二叉查找树,如左图,这是一个深度为8的二叉树,对于查找性能对比链表没有明显提升。因此需要构建为如右图所示高度为4的平衡二叉树。

image-20220518153036386.png

名词

二叉树的平衡因子

将二叉树上结点的左子树深度减去右子树深度的值称为平衡因子BF

最小不平衡子树

距离插入结点最近的,且平衡因子的绝对值大于1的结点为根的子树,称为最小不平衡子树。如下图例子。

image-20220518153811438.png

平衡二叉查找树特点
  • 平衡二叉树前提是一个二叉查找树
  • 任意节点的平衡因子不超过1
  • 任意节点的平衡因子大于1,那么该树不是平衡二叉查找树
平衡二叉查找树插入原理

根据平衡二叉查找树的特点,在进行插入操作时,需要考虑节点深度问题,如果插入操作后不做处理,就会很容易破坏平衡性。

旋转问题

在首次出现最小不平衡子树的时候,这颗二叉树就已经不平衡了,并且只需要处理这颗最小不平衡子树即可解决该二叉树的平衡问题。根据高度特点,大概分为以下四种情况:

image-20220518155809732.png

左左和右右这两种情况是对称的只需要进行一次旋转就可以。左右和右左也是对称的这两种情况需要旋转两次。

单旋转

单旋转是针对左左和右右这两种情况的。

首先找到最小不平衡子树,对应的根节点k1。为了使树恢复平衡,①我们把k2作为新的根节点②原先的根节点k1大于k2,我们可以把k1作为k2的右子树,③而Y大于k2但是小于k1,所以可以把Y作为k1的左子树。

右旋:原理就是左子树高度减一,右子树深度加一。这样一棵不平衡树,就转换成了一颗平衡树。

image-20220518183428585.png

右右是同样的道理,进行左旋。

image-20220518184350096.png

双旋转

对于左右和右左这两种情况,也是对应的,都需要旋转两次。先进行一次右旋转变为左左情况,再进行一次旋转变为平衡二叉树。

image-20220518211922477.png

右左也是一样的道理

image-20220518212332854.png

红黑树
简介

红黑树中的节点,一类被标记为黑色,一类被标记为红色,它是一种不严格的平衡二叉查找树。它要满足这样几个要求:

  • ①节点是红色或者黑色(一般用boolean)

  • ②根节点是黑色的

  • ③每个叶子节点都是黑色的空节点(NIL)

    使用NIL填充叶子节点

  • ④每个红色节点的两个子节点都是黑色的,也就是说没有连续的两个红色节点

  • ⑤任意节点到其叶子节点的所有路径,包含黑色节点数量一致

这就是一个红黑树:

image-20220519212705575.png

左右旋

参考,平衡二叉查找树。

插入原理

首先明确一点,插入节点的初始化状态一定是红色的。

如果插入的节点为黑色的话,需要大量的操作来维持红黑树的特性⑤。

情况一:插入位置为根节点

直接涂黑。

情况二:插入位置的父节点为黑色的

此刻不会破坏红黑树特性,不用做任何调整

image-20220519220858566.png

情况三:插入位置的父节点为红色的

情况1:插入位置的父节点的兄弟节点为黑色

情况a:插入位置,为父节点左支

image-20220519221416615.png

这样就违反了性质④。我们可以通过对节9点进行右旋同时将节点9和节点7的颜色进行互换,这样就变成了:

image-20220519222035908.png

情况b:插入位置,为父节点右支

image-20220519222638926.png 同样的违反了性质④。我们可以先对父节点进行左旋。

image-20220519222934363.png

再进行右旋:

image-20220519223533797.png

多叉树

Trie树又叫字典树前缀树(Prefix Tree)单词查找树键树

Trie 树,也叫“字典树”。它是一种专门处理字符串匹配的数据结构,用来解决在一组字符串集合中快速查找某个字符串的问题。Trie 树的本质,就是利用字符串之间的公共前缀,将重复的前缀合并在一起。

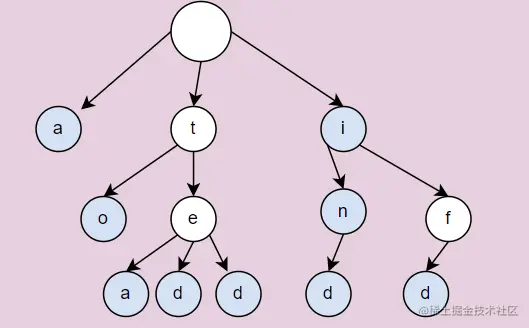
用trie表示一个集合:{“a”, “to”, “tea”, “ted”, “ten”, “i”, “in”, “ind”,“ifd”}

有颜色的节点代表,该节点即其所有主先节点可以构成一个字符串。

image-20220517223509958.png