【LeetCode】102. 二叉树的层序遍历

106 阅读1分钟

持续创作,加速成长!这是我参与「掘金日新计划 · 6 月更文挑战」的第6天,点击查看活动详情

题目

给你二叉树的根节点 root ,返回其节点值的 层序遍历 。 (即逐层地,从左到右访问所有节点)。

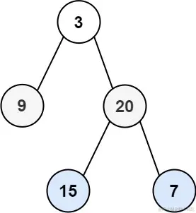
示例 1

输入:root = [3,9,20,null,null,15,7]
输出:[[3],[9,20],[15,7]]

示例 2

输入:root = [1]
输出:[[1]]

示例 3

输入:root = []
输出:[]

提示

  • 树中节点数目在范围 [0, 2000] 内
  • -1000 <= Node.val <= 1000

题解

思路

思路分析:

  1. 按层打印: 题目要求的二叉树的 从上至下 打印(即按层打印),又称为二叉树的 广度优先搜索(BFS)。BFS 通常借助 队列 的先入先出特性来实现。
  2. 每层打印到一行: 将本层全部节点打印到一行,并将下一层全部节点加入队列,以此类推,即可分为多行打印。

算法流程:

  • 特例处理: 当根节点为空,则返回空列表 [] ;
  • 初始化: 打印结果列表 res = [] ,包含根节点的队列 queue = [root] ;
  • BFS 循环: 当队列 queue 为空时跳出;
    • 大小:计算队列的大小也就是当前根结点有多少孩子结点;
    • 新建一个临时列表 tmp ,用于存储当前层打印结果;
    • 当前层打印循环: 循环次数为当前层节点数(即队列 queue 长度);
      • 出队: 队首元素出队,记为 node;
      • 打印: 将 node.val 添加至 tmp 尾部;
      • 添加子节点: 若 node 的 左(右)子节点不为空,则将左(右)子节点加入队列 queue ;
    • 将当前层结果 tmp 添加入 res 。
  • 返回值: 返回打印结果列表 res 即可。

代码

/**
 * Definition for a binary tree node.
 * struct TreeNode {
 *     int val;
 *     TreeNode *left;
 *     TreeNode *right;
 *     TreeNode() : val(0), left(nullptr), right(nullptr) {}
 *     TreeNode(int x) : val(x), left(nullptr), right(nullptr) {}
 *     TreeNode(int x, TreeNode *left, TreeNode *right) : val(x), left(left), right(right) {}
 * };
 */
class Solution {
public:
    vector<vector<int>> levelOrder(TreeNode* root) {
        /* 根据函数返回值定义存储结果的变量 */
        vector<vector<int>> result;
        /* 定义一个队列用于存储节点的数据 */
        queue<TreeNode*> que;
        /* 判空 */
        if(root != NULL) que.push(root);

        /* 开始层序遍历 */
        while(!que.empty()) {
            /* 计算队列的大小也即有多少个孩子 */
            int size = que.size();
            /* 定义一个临时vector 存储每一层 */
            vector<int> vec;
            /* 层序遍历 */
            for(int i = 0; i < size; i++) {
                /* 获取第一个节点数据 */
                TreeNode* node = que.front();
                que.pop();

                vec.push_back(node->val);
                if(node->left != NULL) que.push(node->left);
                if(node->right != NULL) que.push(node->right);
            }
            /* 将一层的数据保存 */
            result.push_back(vec);
        }
        return result;
    }
};

结语

业精于勤,荒于嬉;行成于思,毁于随。