持续创作,加速成长!这是我参与「掘金日新计划 · 6 月更文挑战」的第4天,点击查看活动详情
一.题目:
450. 删除二叉搜索树中的节点 给定一个二叉搜索树的根节点 root 和一个值 key,删除二叉搜索树中的 key 对应的节点,并保证二叉搜索树的性质不变。返回二叉搜索树(有可能被更新)的根节点的引用。
一般来说,删除节点可分为两个步骤:
- 首先找到需要删除的节点;
- 如果找到了,删除它。 示例 1:
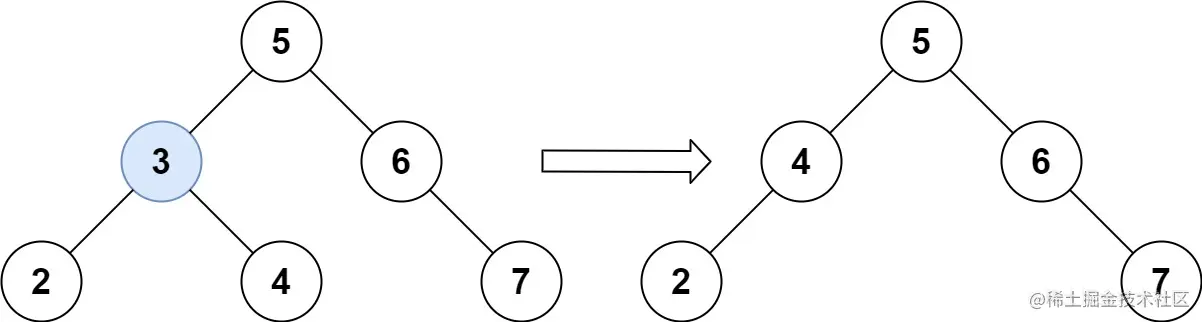
输入:root = [5,3,6,2,4,null,7], key = 3
输出:[5,4,6,2,null,null,7]
解释:给定需要删除的节点值是 3,所以我们首先找到 3 这个节点,然后删除它。
一个正确的答案是 [5,4,6,2,null,null,7], 如下图所示。
另一个正确答案是 [5,2,6,null,4,null,7]。

示例 2:
输入: root = [5,3,6,2,4,null,7], key = 0
输出: [5,3,6,2,4,null,7]
解释: 二叉树不包含值为 0 的节点
示例 3:
输入: root = [], key = 0
输出: []
提示:
- 节点数的范围
[0, 104]. -105 <= Node.val <= 105- 节点值唯一
root是合法的二叉搜索树-105 <= key <= 105
二、思路分析:
根据题意来解决问题,题目要求我们能够删除对应key值的节点且不破坏二叉搜索树的结构,所以基本的步骤是:
- 根据题目信息首先需要找到这个节点
- 找到这个节点后我们需要考虑删除的每个情况:
- 找到的节点正好是叶子节点的时候,我们就不需要考虑其他情况,直接删除节点完成任务。
- 第二种情况,如果是只有一个子树的情况下,我们就直接返回这个单独的子树即可完成删除目标节点的操作。
- 第三种情况最复杂,目标节点左右子树,我们应该选择左子树的最大值或者右子树的最小值来替代这个节点,这样才不会破坏二叉搜素树的结构,这里我选择的是右子树的最小节点进行替换,因为这样符合我们的眼睛喜欢从左往右看的习惯=。=
三、代码:
/**
* Definition for a binary tree node.
* class TreeNode {
* val: number
* left: TreeNode | null
* right: TreeNode | null
* constructor(val?: number, left?: TreeNode | null, right?: TreeNode | null) {
* this.val = (val===undefined ? 0 : val)
* this.left = (left===undefined ? null : left)
* this.right = (right===undefined ? null : right)
* }
* }
*/
function deleteNode(root: TreeNode | null, key: number): TreeNode | null {
if(!root) return null;
function getMin(node: TreeNode): TreeNode{
while(node.left !== null) node = node.left;
return node;
}
if(root.val === key){
// 情况1 找到的节点是叶子节点
if(!root.left && !root.right) return null;
// 情况2
if(root.left === null) return root.right;
if(root.right === null) return root.left;
// 情况3 用右子树最小节点替换目标节点
const minNode: TreeNode = getMin(root.right);
root.right = deleteNode(root.right, minNode.val);
minNode.left = root.left;
minNode.right = root.right;
root = minNode;
}else if(root.val > key){
root.left = deleteNode(root.left, key);
}else if(root.val < key){
root.right = deleteNode(root.right,key);
}
return root;
};
四、总结:
这道题目的整体思路也不是特别难,需要的是你的考虑问题的全面性,针对这道题目我们要想到删除节点有三种情况,如果能够想到的话那么这道题目就不是很难。所以一般的题目难的是思维!