3大树模型实战乳腺癌预测分类

584 阅读7分钟

3大树模型实战乳腺癌分类预测

本文从数据的探索分析出发,经过特征工程和样本均衡性处理,使用决策树、随机森林、梯度提升树对一份女性乳腺癌的数据集进行分析和预测建模。

关键词:相关性、决策树、随机森林、降维

数据集

数据是来自UCI官网,很老的一份数据,主要是用于分类问题,可以自行下载学习

archive.ics.uci.edu/ml/datasets…

导入库

import pandas as pd
import numpy as np

import matplotlib.pyplot as plt
import seaborn as sns
%matplotlib inline

import plotly_express as px
import plotly.graph_objects as go

from sklearn.ensemble import RandomForestClassifier
from sklearn.tree import DecisionTreeClassifier

from sklearn.tree import export_graphviz
from sklearn.metrics import roc_curve, auc
from sklearn.metrics import classification_report
from sklearn.metrics import confusion_matrix
from sklearn import metrics 

from sklearn.model_selection import train_test_split

导入数据

数据是来自UCI官网

# 来自uci

df = pd.read_table("breast-cancer.data",
                   sep=",",
                   names=["Class","age","menopause","tumor-size","inv-nodes",
                          "node-caps","deg-malig","breast","breast-quad","irradiat"])

df

基本信息

In [3]:

df.dtypes   # 字段类型

Out[3]:

Class          object
age            object
menopause      object
tumor-size     object
inv-nodes      object
node-caps      object
deg-malig       int64
breast         object
breast-quad    object
irradiat       object
dtype: object

In [4]:

df.isnull().sum()  # 缺失值

Out[4]:

Class          0
age            0
menopause      0
tumor-size     0
inv-nodes      0
node-caps      0
deg-malig      0
breast         0
breast-quad    0
irradiat       0
dtype: int64

In [5]:

## 字段解释

columns = df.columns.tolist()
columns

Out[5]:

['Class',
 'age',
 'menopause',
 'tumor-size',
 'inv-nodes',
 'node-caps',
 'deg-malig',
 'breast',
 'breast-quad',
 'irradiat']

下面是每个字段的含义和具体的取值范围:

属性名含义取值范围
Class是否复发no-recurrence-events, recurrence-events
age年龄10-19, 20-29, 30-39, 40-49, 50-59, 60-69, 70-79, 80-89, 90-99
menopause绝经情况lt40(40岁之前绝经), ge40(40岁之后绝经), premeno(还未绝经)
tumor-size肿瘤大小0-4, 5-9, 10-14, 15-19, 20-24, 25-29, 30-34, 35-39, 40-44, 45-49, 50-54, 55-59
inv-nodes受侵淋巴结数0-2, 3-5, 6-8, 9-11, 12-14, 15-17, 18-20, 21-23, 24-26, 27-29, 30-32, 33-35, 36-39
node-caps有无结节帽yes, no
deg-malig恶性肿瘤程度1, 2, 3
breast肿块位置left, right
breast-quad肿块所在象限left-up, left-low, right-up, right-low, central
irradiat是否放疗yes,no

去除缺失值

In [6]:

df = df[(df["node-caps"] != "?") & (df["breast-quad"] != "?")]

len(df)

Out[6]:

277

字段处理

In [7]:

from sklearn.preprocessing import LabelEncoder

年龄段-age

In [8]:

age = df["age"].value_counts().reset_index()
age.columns = ["年龄段", "人数"]

age

可以看到数据中大部分的用户集中在40-59岁。对年龄段执行独热码:

df = df.join(pd.get_dummies(df["age"]))
df.drop("age", axis=1, inplace=True)
df.head()

绝经-menopause

In [11]:

menopause = df["menopause"].value_counts().reset_index()
menopause

Out[11]:

indexmenopause
0premeno149
1ge40123
2lt405

In [12]:

fig = px.pie(menopause,names="index",values="menopause")

fig.update_traces(
    textposition='inside',   
    textinfo='percent+label')

fig.show()

df = df.join(pd.get_dummies(df["menopause"]))  # 独热码

df.drop("menopause",axis=1, inplace=True)

肿瘤大小-tumor-size

In [14]:

tumor_size = df["tumor-size"].value_counts().reset_index()

tumor_size

Out[14]:

indextumor-size
030-3457
125-2951
220-2448
315-1929
410-1428
540-4422
635-3919
70-48
850-548
95-94
1045-493

In [15]:

fig = px.bar(tumor_size, 
             x="index",
             y="tumor-size",
             color="tumor-size",
             text="tumor-size")

fig.show()

df = df.join(pd.get_dummies(df["tumor-size"]))

df.drop("tumor-size",axis=1, inplace=True)

受侵淋巴结数-inv-nodes

In [17]:

df["inv-nodes"].value_counts()

Out[17]:

0-2      209
3-5       34
6-8       17
9-11       7
15-17      6
12-14      3
24-26      1
Name: inv-nodes, dtype: int64

In [18]:

df = df.join(pd.get_dummies(df["inv-nodes"]))

df.drop("inv-nodes",axis=1, inplace=True)

有无结节帽-node-caps

In [19]:

df["node-caps"].value_counts()

Out[19]:

no     221
yes     56
Name: node-caps, dtype: int64

In [20]:

df = df.join(pd.get_dummies(df["node-caps"]).rename(columns={"no":"node_capes_no", "yes":"node_capes_yes"}))

df.drop("node-caps",axis=1, inplace=True)

恶性肿瘤程度-deg-malig

In [21]:

df["deg-malig"].value_counts()

Out[21]:

2    129
3     82
1     66
Name: deg-malig, dtype: int64

肿块位置-breast

In [22]:

df["breast"].value_counts()

Out[22]:

left     145
right    132
Name: breast, dtype: int64

In [23]:

df = df.join(pd.get_dummies(df["breast"]))

df.drop("breast",axis=1, inplace=True)

肿块所在象限-breast-quad

In [24]:

breast_quad = df["breast-quad"].value_counts().reset_index()

breast_quad

Out[24]:

indexbreast-quad
0left_low106
1left_up94
2right_up33
3right_low23
4central21

In [25]:

fig = px.bar(breast_quad, 
             x="index",
             y="breast-quad",
             color="breast-quad",
             text="breast-quad")

fig.show()

df = df.join(pd.get_dummies(df["breast-quad"]))

df.drop("breast-quad",axis=1, inplace=True)

是否放疗-irradiat

In [27]:

df["irradiat"].value_counts()

Out[27]:

no     215
yes     62
Name: irradiat, dtype: int64

In [28]:

df = df.join(pd.get_dummies(df["irradiat"]).rename(columns={"no":"irradiat_no","yes":"irradiat_yes"}))

df.drop("irradiat", axis=1, inplace=True)

是否复发-Class

这个是最终预测的因变量

In [29]:

dic = {"no-recurrence-events":0, "recurrence-events":1}
df["Class"] = df["Class"].map(dic)  # 实施转换

df

复发和非复发的统计:

sns.countplot(df['Class'],label="Count")

plt.show()

样本不均衡处理

In [31]:

# 样本量分布

df["Class"].value_counts()

Out[31]:

0    196
1     81
Name: Class, dtype: int64

In [32]:

from imblearn.over_sampling import SMOTE

In [33]:

X = df.iloc[:,1:]
y = df.iloc[:,0]

y.head()

Out[33]:

0    0
1    0
2    0
3    0
4    0
Name: Class, dtype: int64

In [34]:

groupby_df = df.groupby('Class').count()      

# 输出原始数据集样本分类分布
groupby_df

# 建立SMOTE模型对象
model_smote = SMOTE()

# 输入数据做过抽样处理
x_smote_resampled, y_smote_resampled = model_smote.fit_resample(X, y)         
# 将数据转换为数据框并命名列名
x_smoted = pd.DataFrame(x_smote_resampled, 
                        columns=df.columns.tolist()[1:])   
y_smoted = pd.DataFrame(y_smote_resampled,
                        columns=['Class'])       

# 按列合并数据框
df_smoted = pd.concat([x_smoted, y_smoted],axis=1)

建模

相关性

分析每个新字段和因变量之间的相关性

In [36]:

corr = df_smoted.corr()
corr.head()

绘制相关性热力图:

fig = plt.figure(figsize=(12,8))
sns.heatmap(corr)

plt.show()

数据集划分

In [38]:

X = df_smoted.iloc[:,:-1]
y = df_smoted.iloc[:,-1]

from sklearn.model_selection import train_test_split

X_train,X_test,y_train,y_test = train_test_split(X,y,
                                                 test_size=0.20,
                                                 random_state=123)

决策树

In [39]:

dt = DecisionTreeClassifier(max_depth=5)
dt.fit(X_train, y_train)

Out[39]:

DecisionTreeClassifier(max_depth=5)

In [40]:

# 预测
y_prob = dt.predict_proba(X_test)[:,1]

# 预测的概率转成0-1分类
y_pred = np.where(y_prob > 0.5, 1, 0)
dt.score(X_test, y_pred)

Out[40]:

1.0

In [41]:

# 混淆矩阵

confusion_matrix(y_test, y_pred)

Out[41]:

array([[29,  8],
       [19, 23]])

In [42]:

# 分类得分报告
print(classification_report(y_test, y_pred))
              precision    recall  f1-score   support

           0       0.60      0.78      0.68        37
           1       0.74      0.55      0.63        42

    accuracy                           0.66        79
   macro avg       0.67      0.67      0.66        79
weighted avg       0.68      0.66      0.65        79

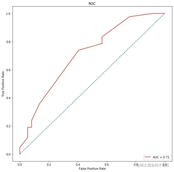
In [43]:

# roc
metrics.roc_auc_score(y_test, y_pred)

Out[43]:

0.6657014157014157

In [44]:

# roc曲线

from sklearn.metrics import roc_curve, auc
false_positive_rate, true_positive_rate, thresholds = roc_curve(y_test, y_prob)
roc_auc = auc(false_positive_rate, true_positive_rate)

import matplotlib.pyplot as plt
plt.figure(figsize=(10,10))  # 画布
plt.title('ROC')  # 标题

plt.plot(false_positive_rate,  # 绘图
         true_positive_rate,
         color='red',
         label = 'AUC = %0.2f' % roc_auc)

plt.legend(loc = 'lower right') #  图例位置
plt.plot([0, 1], [0, 1],linestyle='--')  # 正比例直线

plt.axis('tight')
plt.xlabel('False Positive Rate')
plt.ylabel('True Positive Rate')
plt.show()

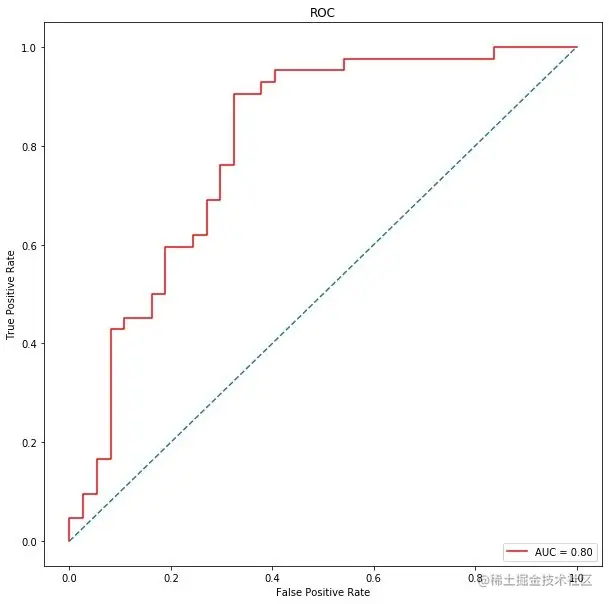
随机森林

In [45]:

rf = RandomForestClassifier(max_depth=5)
rf.fit(X_train, y_train)

Out[45]:

RandomForestClassifier(max_depth=5)

In [46]:

# 预测
y_prob = rf.predict_proba(X_test)[:,1]

# 预测的概率转成0-1分类
y_pred = np.where(y_prob > 0.5, 1, 0)
rf.score(X_test, y_pred)

Out[46]:

1.0

In [47]:

# 混淆矩阵

confusion_matrix(y_test, y_pred)

Out[47]:

array([[31,  6],
       [14, 28]])

In [48]:

# roc
metrics.roc_auc_score(y_test, y_pred)

Out[48]:

0.7522522522522522

In [49]:

# roc曲线

from sklearn.metrics import roc_curve, auc
false_positive_rate, true_positive_rate, thresholds = roc_curve(y_test, y_prob)
roc_auc = auc(false_positive_rate, true_positive_rate)

import matplotlib.pyplot as plt
plt.figure(figsize=(10,10))  # 画布
plt.title('ROC')  # 标题

plt.plot(false_positive_rate,  # 绘图
         true_positive_rate,
         color='red',
         label = 'AUC = %0.2f' % roc_auc)

plt.legend(loc = 'lower right') #  图例位置
plt.plot([0, 1], [0, 1],linestyle='--')  # 正比例直线

plt.axis('tight')
plt.xlabel('False Positive Rate')
plt.ylabel('True Positive Rate')
plt.show()

梯度提升树

In [50]:

from sklearn.ensemble import GradientBoostingClassifier

In [51]:

gbc = GradientBoostingClassifier(loss='deviance', 
                                 learning_rate=0.1, 
                                 n_estimators=5, 
                                 subsample=1,
                                 min_samples_split=2, 
                                 min_samples_leaf=1, 
                                 max_depth=3)

gbc.fit(X_train, y_train)

Out[51]:

GradientBoostingClassifier(n_estimators=5, subsample=1)

In [52]:

# 预测
y_prob = gbc.predict_proba(X_test)[:,1]

# 预测的概率转成0-1分类
y_pred = np.where(y_prob > 0.5, 1, 0)
gbc.score(X_test, y_pred)

Out[52]:

1.0

In [53]:

# 混淆矩阵
confusion_matrix(y_test, y_pred)

Out[53]:

array([[32,  5],
       [24, 18]])

In [54]:

# roc
metrics.roc_auc_score(y_test, y_pred)

Out[54]:

0.6467181467181469

In [55]:

# roc曲线

from sklearn.metrics import roc_curve, auc
false_positive_rate, true_positive_rate, thresholds = roc_curve(y_test, y_prob)
roc_auc = auc(false_positive_rate, true_positive_rate)

import matplotlib.pyplot as plt
plt.figure(figsize=(10,10))  # 画布
plt.title('ROC')  # 标题

plt.plot(false_positive_rate,  # 绘图
         true_positive_rate,
         color='red',
         label = 'AUC = %0.2f' % roc_auc)

plt.legend(loc = 'lower right') #  图例位置
plt.plot([0, 1], [0, 1],linestyle='--')  # 正比例直线

plt.axis('tight')
plt.xlabel('False Positive Rate')
plt.ylabel('True Positive Rate')
plt.show()

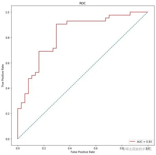
PCA降维

降维过程

In [56]:

from sklearn.decomposition import PCA
pca = PCA(n_components=17)
pca.fit(X)

#返回所保留的17个成分各自的方差百分比
print(pca.explained_variance_ratio_)
[0.17513053 0.12941834 0.11453698 0.07323991 0.05889187 0.05690304 0.04869476 0.0393374  0.03703477 0.03240863 0.03062932 0.02574137 0.01887462 0.0180381  0.01606983 0.01453912 0.01318003]

In [57]:

sum(pca.explained_variance_ratio_)

Out[57]:

0.9026686181152915

降维后数据

In [58]:

X_NEW = pca.transform(X)
X_NEW

Out[58]:

array([[ 1.70510215e-01,  5.39929099e-01, -1.04314303e+00, ...,        -2.26541223e-01, -6.39332871e-02, -8.97923150e-02],
       [-9.01105403e-01,  8.01693088e-01,  5.92260258e-01, ...,         9.66299251e-02,  1.40755806e-03, -2.74626972e-01],
       [-6.05200264e-01,  6.08455330e-01, -1.00524376e+00, ...,         4.11416630e-02,  4.15705282e-02, -8.46941345e-02],
       ...,
       [ 1.40652211e-02,  5.35906106e-01,  5.64150123e-02, ...,         1.70834934e-01,  7.11616391e-02, -1.72250445e-01],
       [-4.41363597e-01,  9.11950641e-01, -4.22184256e-01, ...,        -4.13385344e-02, -7.64405982e-02,  1.04686148e-01],
       [ 1.98533663e+00, -4.74547396e-01, -1.52557494e-01, ...,         2.72194184e-02,  5.71553613e-02,  1.78074886e-01]])

In [59]:

X_NEW.shape

Out[59]:

(392, 17)

重新划分数据

In [60]:

X_train,X_test,y_train,y_test = train_test_split(X_NEW,y,test_size=0.20,random_state=123)

再用随机森林

In [61]:

rf = RandomForestClassifier(max_depth=5)
rf.fit(X_train, y_train)

Out[61]:

RandomForestClassifier(max_depth=5)

In [62]:

# 预测
y_prob = rf.predict_proba(X_test)[:,1]

# 预测的概率转成0-1分类
y_pred = np.where(y_prob > 0.5, 1, 0)
rf.score(X_test, y_pred)

Out[62]:

1.0

In [63]:

# 混淆矩阵

confusion_matrix(y_test, y_pred)

Out[63]:

array([[26, 11],
       [13, 29]])

In [64]:

# roc
metrics.roc_auc_score(y_test, y_pred)

Out[64]:

0.6965894465894465

In [65]:

# roc曲线

from sklearn.metrics import roc_curve, auc
false_positive_rate, true_positive_rate, thresholds = roc_curve(y_test, y_prob)
roc_auc = auc(false_positive_rate, true_positive_rate)

import matplotlib.pyplot as plt
plt.figure(figsize=(10,10))  
plt.title('ROC')  

plt.plot(false_positive_rate,  
         true_positive_rate,
         color='red',
         label = 'AUC = %0.2f' % roc_auc)

plt.legend(loc = 'lower right') 
plt.plot([0, 1], [0, 1],linestyle='--')  

plt.axis('tight')
plt.xlabel('False Positive Rate')
plt.ylabel('True Positive Rate')
plt.show()

总结

从数据预处理和特征工程出发,建立不同的树模型表现来看,随机森林表现的最好,AUC值高达0.81,在经过对特征简单的降维之后,我们选择前17个特征,它们的重要性超过90%,再次建模,此时AUC值达到0.83。