力扣每日一题0602-450. 删除二叉搜索树中的节点

124 阅读3分钟

持续创作,加速成长!这是我参与「掘金日新计划 · 6 月更文挑战」的第4天,点击查看活动详情

给定一个二叉搜索树的根节点 root 和一个值 key,删除二叉搜索树中的 key 对应的节点,并保证二叉搜索树的性质不变。返回二叉搜索树(有可能被更新)的根节点的引用。

一般来说,删除节点可分为两个步骤:

  1. 首先找到需要删除的节点;
  2. 如果找到了,删除它。

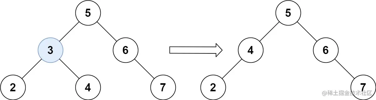
示例 1:

image.png

输入:root = [5,3,6,2,4,null,7], key = 3
输出:[5,4,6,2,null,null,7]
解释:给定需要删除的节点值是 3,所以我们首先找到 3 这个节点,然后删除它。
一个正确的答案是 [5,4,6,2,null,null,7], 如下图所示。
另一个正确答案是 [5,2,6,null,4,null,7]。

image.png

示例 2:

输入: root = [5,3,6,2,4,null,7], key = 0
输出: [5,3,6,2,4,null,7]
解释: 二叉树不包含值为 0 的节点

示例 3:

输入: root = [], key = 0
输出: []

递归

二叉搜索树有以下性质:

  • 左子树的所有节点(如果有)的值均小于当前节点的值;
  • 右子树的所有节点(如果有)的值均大于当前节点的值;
  • 左子树和右子树均为二叉搜索树。

二叉搜索树的题目往往可以用递归来解决。此题要求删除二叉树的节点,函数 deleteNode\textit{deleteNode} 的输入是二叉树的根节点 root\textit{root} 和一个整数 key\textit{key},输出是删除值为 key\textit{key} 的节点后的二叉树,并保持二叉树的有序性。可以按照以下情况分类讨论:

  • root 为空,代表未搜索到值为 key\textit{key} 的节点,返回空。

  • root.val>keyroot.val>key,表示值为 key\textit{key} 的节点可能存在于 root\textit{root} 的左子树中,需要递归地在 root.left\textit{root.left} 调用 deleteNode\textit{deleteNode},并返回 root\textit{root}

  • root.val<keyroot.val<key,表示值为 key\textit{key} 的节点可能存在于 root\textit{root} 的右子树中,需要递归地在 root.right\textit{root.right} 调用 deleteNode\textit{deleteNode},并返回 root\textit{root}

  • root.val=keyroot.val=keyroot\textit{root} 即为要删除的节点。此时要做的是删除 root\textit{root},并将它的子树合并成一棵子树,保持有序性,并返回根节点。根据 root\textit{root} 的子树情况分成以下情况讨论:

    • rootroot 为叶子节点,没有子树。此时可以直接将它删除,即返回空。
    • rootroot 只有左子树,没有右子树。此时可以将它的左子树作为新的子树,返回它的左子节点。
    • root\textit{root} 只有右子树,没有左子树。此时可以将它的右子树作为新的子树,返回它的右子节点。
    • rootroot 有左右子树,这时可以将 root\textit{root} 的后继节点(比 root\textit{root} 大的最小节点,即它的右子树中的最小节点,记为 successor\textit{successor})作为新的根节点替代 root\textit{root},并将 successor\textit{successor}root\textit{root} 的右子树中删除,使得在保持有序性的情况下合并左右子树。 简单证明,successor\textit{successor} 位于 root\textit{root} 的右子树中,因此大于 root\textit{root} 的所有左子节点;successor\textit{successor}root\textit{root} 的右子树中的最小节点,因此小于 root\textit{root} 的右子树中的其他节点。以上两点保持了新子树的有序性。 在代码实现上,我们可以先寻找 successor\textit{successor},再删除它。successor\textit{successor}root\textit{root} 的右子树中的最小节点,可以先找到 root\textit{root} 的右子节点,再不停地往左子节点寻找,直到找到一个不存在左子节点的节点,这个节点即为 successor\textit{successor}。然后递归地在 root.right\textit{root.right} 调用 deleteNode\textit{deleteNode} 来删除 successor\textit{successor}。因为 successor\textit{successor} 没有左子节点,因此这一步递归调用不会再次步入这一种情况。然后将 successor\textit{successor} 更新为新的 root\textit{root} 并返回。
    var deleteNode = function(root, key) {
        if (!root) {
            return null;
        }
        if (root.val > key) {
            root.left = deleteNode(root.left, key);
            return root;
        }
        if (root.val < key) {
            root.right = deleteNode(root.right, key);
            return root;
        }
        if (root.val === key) {
            if (!root.left && !root.right) {
                return null;
            }
            if (!root.right) {
                return root.left;
            }
            if (!root.left) {
                return root.right;
            }
            let successor = root.right;
            while (successor.left) {
                successor = successor.left;
            }
            root.right = deleteNode(root.right, successor.val);
            successor.right = root.right;
            successor.left = root.left;
            return successor;
        }
        return root;
    };